رفتن به مطلب

رفع اشکال دروس سیالات1و2 و دینامیک گازها


EVF

ارسال های توصیه شده

ارسال شده در

برای مطالعه بیشتر

برای مشاهده این محتوا لطفاً ثبت نام کنید یا وارد شوید.

  • Like 2
  • 2 هفته بعد...
  • پاسخ 138
  • ایجاد شد
  • آخرین پاسخ

بهترین ارسال کنندگان این موضوع

بهترین ارسال کنندگان این موضوع

ارسال شده در

با درود

لطفا پیرامون سوال 58 من رو راهنمایی کنید

من ابتدا میدان سرعت رو بدست میارم که میشه رابطه زیر

V(x,y)=6x*y+3x^2*y-3y^2

آیا درست بدست آوردم؟

بعد اگر درست هست از اینجا به بعد باید چکار کنم تاسرعت متوسط رو بدست بیارم؟:ws52:

ممنون

  • Like 4
ارسال شده در
با درود

لطفا پیرامون سوال 58 من رو راهنمایی کنید

من ابتدا میدان سرعت رو بدست میارم که میشه رابطه زیر

V(x,y)=6x*y+3x^2*y-3y^2

آیا درست بدست آوردم؟

بعد اگر درست هست از اینجا به بعد باید چکار کنم تاسرعت متوسط رو بدست بیارم؟:ws52:

ممنون

درود بر شما:icon_gol:

lk1bfmxs26m74arckq92.jpg

  • Like 3
ارسال شده در
درود بر شما:icon_gol:

lk1bfmxs26m74arckq92.jpg

تشکرفراوان:icon_gol:

فکر کنم یه مقدار در پرسیدنش از جانب خودم اشتباه کردم،این قسمت سوالش که شما نوشتی مال فصل بعد بود که هنوز بهش نرسیدم:ws3:

اون عبارت 6xyرو من زیادی بدست آوردم؟:ws52:

البته تاثیری در حلش نداره،چون بالاخره یکی از بعد ها عبارتش رو صفر میکنه ولی میخوام ببینم اشتباه هست یا نه؟

  • Like 3
ارسال شده در
تشکرفراوان:icon_gol:

فکر کنم یه مقدار در پرسیدنش از جانب خودم اشتباه کردم،این قسمت سوالش که شما نوشتی مال فصل بعد بود که هنوز بهش نرسیدم:ws3:

اون عبارت 6xyرو من زیادی بدست آوردم؟:ws52:

البته تاثیری در حلش نداره،چون بالاخره یکی از بعد ها عبارتش رو صفر میکنه ولی میخوام ببینم اشتباه هست یا نه؟

 

راه حل بر اساس تابع جریان است و مقادیر نیز در همین تابع جایگزین شده اند.و نیازی به محاسبه سرعت نیست.

  • Like 3
ارسال شده در
راه حل بر اساس تابع جریان است و مقادیر نیز در همین تابع جایگزین شده اند.و نیازی به محاسبه سرعت نیست.

آهاااااااااااااان

الان متوجه شدم،من در واقع داشتم یه مرحله اضافه میرفتم...ودرنهایت به جواب میرسیدم فقط یکم طولانی تر میشدش:w16:

مرسی،همونطور که گفتم راه حل شما مال جلوتر بود،ولی خوب شد که دونستم از الان:a030::icon_gol:

  • Like 3
ارسال شده در

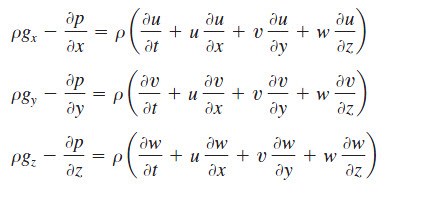
سلام به دوستان گرانقدر. توی معادله اولر چه موقع ترم زیر توی معادله قرار می گیره؟ ضمنا مشخصا منظور از این ترم توی این معادله چیه؟(به طور مثال تغییرات فشار با گرادیان فشار در جهت بردار مفروض توی این معادله نمایش داده میشه)...قبلا از همکاری شما سپاسگزاریم!!!:icon_gol::icon_gol:

  • Like 3
ارسال شده در
سلام به دوستان گرانقدر. توی معادله اولر چه موقع ترم زیر توی معادله قرار می گیره؟ ضمنا مشخصا منظور از این ترم توی این معادله چیه؟(به طور مثال تغییرات فشار با گرادیان فشار در جهت بردار مفروض توی این معادله نمایش داده میشه)...قبلا از همکاری شما سپاسگزاریم!!!:icon_gol::icon_gol:

میشه لطف کنی و معادله کامل رو بنویسی؟؟

الان نمیدونم این کجای معادله است!!!

آخه کتاب و جزوه الان ندارم و دقیق معادله توی ذهنم نیست...

  • Like 2
ارسال شده در

....

.

.

  • Like 4
ارسال شده در
....

.

.

شما در حقیقت یه جورایی این معادله رو نوشتید.درسته؟میشه بفرمایید دقیقا سوالتون چیه؟

smi4gkhecvszvskszdvh.jpg

  • Like 4
ارسال شده در
شما در حقیقت یه جورایی این معادله رو نوشتید.درسته؟میشه بفرمایید دقیقا سوالتون چیه؟

smi4gkhecvszvskszdvh.jpg

 

معادلاتی که نوشتین معادلات نویر استوکس هستن البته برای سیالات غیر لزج(تنش برشی=0).البته به نظر وجوه تشابه زیادی با معادله اولر داره ولی اینکه یکی هستن رو بعید می دونم

  • Like 5
ارسال شده در
معادلاتی که نوشتین معادلات نویر استوکس هستن البته برای سیالات غیر لزج(تنش برشی=0).البته به نظر وجوه تشابه زیادی با معادله اولر داره ولی اینکه یکی هستن رو بعید می دونم

معادله اویلر از معادلا نویر استوکس بدست میاد.جفت معادلات یکی هست فقط بجای شتاب تغییرات سرعت بر زمان و بجای گاما در ارتفاع مستقیما فشار رو نوشته.

  • Like 5
ارسال شده در
معادله اویلر از معادلا نویر استوکس بدست میاد.جفت معادلات یکی هست فقط بجای شتاب تغییرات سرعت بر زمان و بجای گاما در ارتفاع مستقیما فشار رو نوشته.

تایید میشه:a030:

  • Like 3
ارسال شده در

در هر صورت من دنبال مفهوم ترم زیر توی معادله ام.آیا این ترم تغییرات وزن سیال نسبت به جهت شتاب سیال رو توی این معادله نشون میده؟

  • Like 2
ارسال شده در
در هر صورت من دنبال مفهوم ترم زیر توی معادله ام.آیا این ترم تغییرات وزن سیال نسبت به جهت شتاب سیال رو توی این معادله نشون میده؟

تغییرات فشار نسبت به جهت شتاب بگیم درست تر نیست؟

  • Like 2
ارسال شده در
تغییرات فشار نسبت به جهت شتاب بگیم درست تر نیست؟

 

درسته.مرسی

  • Like 1
  • 1 ماه بعد...
ارسال شده در

بهترین مرجع برای مطالعه سیالات 1و2 چه مرجعی است

متشکرم

  • Like 2
ارسال شده در
بهترین مرجع برای مطالعه سیالات 1و2 چه مرجعی است

متشکرم

سلام دوست عزیز

مکانیک سیالات مراجع زیادی داری و ممکنه هرجایی یکی از اون مورد مطالعه قرار بگیره.

اما مهمترین های اوونها

مکانیک سیالات-وایت

مکانیک سیالات-فاکس

مکانیک سیالات-استریتر

مکانیک سیالات-شیمز

هست،دیگر مراجعم هم به فارسی و هم به انگلیسی موجود هست مثلا

مکانیک سیالات-مانسون

مکانیک سیالات-سری شومز

مکانیک سیالات-دکتر سمیع پور

مکانیک سیالات-دکتر کیوان صادقی و ...

  • Like 3
ارسال شده در
سلام دوست عزیز

مکانیک سیالات مراجع زیادی داری و ممکنه هرجایی یکی از اون مورد مطالعه قرار بگیره.

اما مهمترین های اوونها

مکانیک سیالات-وایت

مکانیک سیالات-فاکس

مکانیک سیالات-استریتر

مکانیک سیالات-شیمز

هست،دیگر مراجعم هم به فارسی و هم به انگلیسی موجود هست مثلا

مکانیک سیالات-مانسون

مکانیک سیالات-سری شومز

مکانیک سیالات-دکتر سمیع پور

مکانیک سیالات-دکتر کیوان صادقی و ...

کتاب مکانیک سیالات (2 جلدی) دکتر محمد صادق معیری ، انتشارات دانشگاه شیراز واقعا" کتاب خوبیه...

  • Like 2
  • 2 هفته بعد...
ارسال شده در

استاد سیالاتمون امروز ازمون سوالی پرسید که گفت برا هفته آینده بیارید

دلیل اینکه در مانور متر ها ما از جیوه استفاده میکنیم و هیچ گاه از آب یا روغن استفاده نمیشود چیست؟

خلاصه مفید

هل من الکاربران ینصرنی؟:texc5lhcbtrocnmvtp8

  • Like 3

×
×
  • اضافه کردن...