رفتن به مطلب

پاسخگویی به اشکالات درس ریاضیات عمومی 2


ارسال های توصیه شده

ارسال شده در

با درود خدمت همه دوستان گرامی.

 

درس ریاضیات عمومی 2،یکی از درس هایی است که از مفاهیم آن در سطوح بالاتر مهندسی هم استفاده میشود.

 

مباحثی مانند انتگرال های دوگانه و سه گانه و قضایای دیورژانس و.... به وفور در لیسانس و حتی در ارشد و دکترا مورد استفاده قرار میگیرند.

 

بنابر این،درک عمیق یک سری از مفاهیم خاص در این درس،بسیار حائز اهمیت میباشد.

 

 

این تاپیک جهت پاسخگویی و رفع اشکال درس ریاضیات عمومی 2 هم برای درس در دوره لیسانس و هم جهت کنکور ارشد در نظر گرفته شده است.

 

حتما اگر سوالی داشتید مطرح کنید،تا با کمک هم و سایر دوستان بتوانیم راه حلی برای آن بیابیم.

 

با تشکر فراوان. :icon_gol:

  • Like 17
ارسال شده در

کتابی که معمولا برای درس در دوره لیسانس توصیه میشود،کتاب حساب دیفرانسیل و انتگرال توماس جلد دوم است.

 

اما کتابی تحت عنوان ریاضیات آپوستول هست،این کتاب سوالات بسیار کامل و جامعی در حوزه ریاضیات عمومی 2 دارد و همچنین شامل نمونه سوالات بسیاری از سوالات ریاضیات عمومی دانشگاه های تهران میباشد.

 

حتما اگر در این درس مشکل دارید،با تهیه این کتاب مشکلات خود را تا حد زیادی رفع خواهید کرد.

 

و کتابی هم که برای کنکور ارشد توصیه میشود،کتاب ریاضیات عمومی 2 مسعود آقاسی میباشد،که کتابی است بسیار جامع و البته حجم زیاد میباشد.

 

اگر هم وقت چندانی برای درس ریاضیات عمومی2 ندارید،میتوانید از کتاب ریاضیات عمومی 2 انتشارات پوران پژوهش،تالیف فرزین حاجی جمشیدی استفاده کنید.

  • Like 14
ارسال شده در

سرفصل های درس ریاضیات عمومی 2 در دوره کارشناسی به قرار زیر هستند:

 

 

1- مختصات قطبی

 

2- آنالیز برداری (توابع برداری-طول قوس-بردارهای مماس و قائم و انحنا)

 

3- هندسه تحلیلی فضایی (سطوح درجه دوم-خم و رویه)

 

4- توابع چند متغیره (حد و پیوستگی-مشتق-اکسترمم های توابه چند متغیره و....)

 

5- انتگرال خط (محاسبه مرکز جرم و ممان اینرسی-انتگرال مستقل از مسیر و....)

 

6- انتگرال چندگانه (انتگرال دوگانه و کاربردها-انتگرال سه گانه و کاربردها)

 

7- انتگرال رویه و انتگرال سطح

 

8- قضیه های دیورژانس و استوکس و...

 

 

 

توجه داشته باشید که اگر برای کارشناسی ارشد مطالعه میفرمایید،حتما ترتیب فصل های ارائه شده را حفظ کنید.

  • Like 12
ارسال شده در

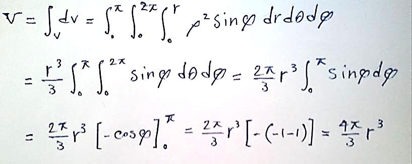
2 ساعت فرصت دارم یکی جواب این سئوال رو بگه دیگه مغز خودم نمیکشه :4564:

محاسبه حجم کره ای به شعاع r با استفاده از انتگرال 3 گانه

  • Like 1
ارسال شده در
2 ساعت فرصت دارم یکی جواب این سئوال رو بگه دیگه مغز خودم نمیکشه :4564:

محاسبه حجم کره ای به شعاع r با استفاده از انتگرال 3 گانه

nc9yumh0txpnreud7d31.jpg

اینطوری میشه؟ اگه اینطوری میشه چطوری حل میشه؟ اگه اینطوری نمیشه چی میشه؟ :4564:

  • Like 3
ارسال شده در
nc9yumh0txpnreud7d31.jpg

اینطوری میشه؟ اگه اینطوری میشه چطوری حل میشه؟ اگه اینطوری نمیشه چی میشه؟ :4564:

 

سلام ،

 

rjvdkmsdwt4s2cjgpc2.jpg

  • Like 9
  • 1 ماه بعد...
ارسال شده در

من خیلی اوقات در تشخیص زاویه(فی)در مختصات کره ای اشتباه میکنم

مخصوصا وقتی سطح دارای برش و محدودیت هست

همچنین تتا

چه راه حلی برای این قسمت هست؟

  • Like 1
ارسال شده در
من خیلی اوقات در تشخیص زاویه(فی)در مختصات کره ای اشتباه میکنم

مخصوصا وقتی سطح دارای برش و محدودیت هست

همچنین تتا

چه راه حلی برای این قسمت هست؟

 

میشه یک مثال بزنین؟

چون زاویه فی را ما از محور z ها حساب میکنیم.

 

خیلی مهمه که شما بتونین رویه ها و حجم ها را قبل از اعمال محدودیت ها رسم کنین.

  • Like 3
ارسال شده در
میشه یک مثال بزنین؟

چون زاویه فی را ما از محور z ها حساب میکنیم.

 

خیلی مهمه که شما بتونین رویه ها و حجم ها را قبل از اعمال محدودیت ها رسم کنین.

بله اون رو که میدونم از روی z هست

رویه ها رو هم میتونم رسم کنم،اما تجسم اینکه فی رو دقیق از کجا بگیرم رو همیشه اشتباه میکنم

مثالی که بخوام بزنم...

حجم محدود به کره gif.latex?x%5E%7B2%7D+y%5E%7B2%7D+z%5E%7B2%7D=1 وداخل سطح gif.latex?z=%5Csqrt%7Bx%5E%7B2%7D+y%5E%7B2%7D%7D را حساب کنید.

حل:الان سطح ما یک مخروط هست دیگه؟وقتی ترسیم کنیم چطور میشه از روش دقیق محدود فی رو پیدا کرد؟

ارسال شده در

حجم محدود به کره gif.latex?x%5E%7B2%7D+y%5E%7B2%7D+z%5E%7B2%7D=1 وداخل سطح gif.latex?z=%5Csqrt%7Bx%5E%7B2%7D+y%5E%7B2%7D%7D را حساب کنید.

 

حل:الان سطح ما یک مخروط هست دیگه؟وقتی ترسیم کنیم چطور میشه از روش دقیق محدود فی رو پیدا کرد؟

 

خوب اگه بتونی رسم کنی،میدونی که مخروط در این وضعیت حول محور z دوران میکنه.

 

پس همواره کره را در یک زاویه مشخصی قطع میکنه.

 

کافیه شما یک حالت خاص رو بررسی کنی.

 

مثلا در فرمول مخروط، x را برابر با 0 در نظر میگیری.

 

در نتیجه z=y میشه ، که این یعنی خطی که زاویه آن با محور z ، 45 درجه است.

 

پس تغییرات فی از 0 تا 45 درجه میشه.

  • Like 3
ارسال شده در
خوب اگه بتونی رسم کنی،میدونی که مخروط در این وضعیت حول محور z دوران میکنه.

 

پس همواره کره را در یک زاویه مشخصی قطع میکنه.

 

کافیه شما یک حالت خاص رو بررسی کنی.

 

مثلا در فرمول مخروط، x را برابر با 0 در نظر میگیری.

 

در نتیجه z=y میشه ، که این یعنی خطی که زاویه آن با محور z ، 45 درجه است.

 

پس تغییرات فی از 0 تا 45 درجه میشه.

درسته،مولد مخروط محور zمیشه.قسمت دوم یعنی شما میای مقطع رو روی محور xتصویر میکنی؟

این روش همیشه جواب میده؟

  • Like 1
ارسال شده در
درسته،مولد مخروط محور zمیشه.قسمت دوم یعنی شما میای مقطع رو روی محور xتصویر میکنی؟

این روش همیشه جواب میده؟

 

بستگی به شکلی که داری،باید عمل کنی ولی خوب برای اکثر حالات جواب میده.

 

الان مقطع را روی محور x تصویر نکردم، بلکه روی صفحه z-y تصویر کردم تا حاصلش مثلث بشه.

 

یعنی انگار مخروط را فشار میدیم روی صفحه تا شکل مثلث بشه.

  • Like 3
ارسال شده در
بستگی به شکلی که داری،باید عمل کنی ولی خوب برای اکثر حالات جواب میده.

 

الان مقطع را روی محور x تصویر نکردم، بلکه روی صفحه z-y تصویر کردم تا حاصلش مثلث بشه.

 

یعنی انگار مخروط را فشار میدیم روی صفحه تا شکل مثلث بشه.

آهان،آره درسته.یه لحظه اشتباه کردم من.باید مثالهای بیشتری رو ببینم تا مسلط بشم به این بخش

روش شما رو هم روی چندتای دیگه تست میکنم

اگر به مشکل خورد همینجا مطرح میکنم

باز هم ممنونم:flowerysmile:

  • Like 2
  • 2 ماه بعد...
ارسال شده در

سلام

 

لطفا با زبان ساده نحوه انتگرال گیری به روش جز به جز را آموزش دهید.

 

mer30

  • Like 1
ارسال شده در
سلام

 

لطفا با زبان ساده نحوه انتگرال گیری به روش جز به جز را آموزش دهید.

 

mer30

 

چه سوال کلی بود !!! :w58:

 

باید مثال حل کنی،هرجا مشکل پیدا کردی اینجا مطرح کنی تا کمک کنم.

 

حدود 20 صفحه درس و مثال است بابا.... :icon_pf (34):

  • Like 4
ارسال شده در
چه سوال کلی بود !!! :w58:

 

باید مثال حل کنی،هرجا مشکل پیدا کردی اینجا مطرح کنی تا کمک کنم.

 

حدود 20 صفحه درس و مثال است بابا.... :icon_pf (34):

 

 

بله. حق با شماست.:yes:

من از اولش با این روش انتگرال گیری لج بودم تا فردا هم نمیتونم مثالمو بیارم. :icon_razz:

میرم سراغ یه درس دیگه امشب.:girl_blush2:

  • Like 1
ارسال شده در

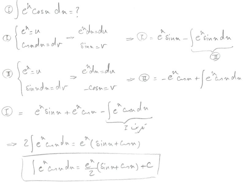
دوباره سلام و خسته نباشید.

 

عکس مربوط به سوالاتی که دادن حل کنیم.

 

yqdbd6l44cv0m57h2q0q.jpg

 

میدونم روش هم مهمه اما چون خطم ریزه نذاشتم.اگه اشتباهه لطفا راه حل هم بنویسید که با مال خودم مقایسه کنم بدونم کجا اشتباه کردم.

 

 

 

با تشکر.

  • Like 2
ارسال شده در
دوباره سلام و خسته نباشید.

 

عکس مربوط به سوالاتی که دادن حل کنیم.

 

yqdbd6l44cv0m57h2q0q.jpg

 

 

.

 

کیفیت عکس هاتون خیلی پایینه (مجبور به ویرایش شدم) تو کاغذ A4 و با مداد سیاه بنویسید،راه حل هم حتما باشه. :a030:

58i6pgik9mjpwz67otf.jpg

 

n0tc78ux14rqqcw4uk.jpg

 

  • Like 5
ارسال شده در

من با اجازه اسی عزیز یه توضیح بدم شاید این دوستمون هم مشکلی شبیه اوایلی که من این روش رو دیدم باهاش مواجه بودم،داشته باشند.

توی روش جز به جز روند و فرم کلی حل مسئله که واضحه.

باید یه تابع رو به عنوان u ویکی رو یه عنوان dv بگیرید و بعد مشتق و انتگرال و ...

اما من خودم اول توی تشخیص اینکه کدوم جز رو به عنوان u و کدوم جز رو به عنوان dv بگیریم مشکل داشتم.

ما کلا روش جز به جز رو برای انتگرال گیری از سه دسته تابع و حاصل ضرب اون توابع در هم استفاده میکنیم.

1-توابع لگاریتمی،معکوس مثلثاتی،معکوس هیپربولیک

2-توابع چند جمله ای

3-توابع نمایی،مثلثاتی،هیپربولیک

حالا اگه انتگرال ما از حاصل ضرب این توابع در هم تشکیل شده بود شما باید u رو اون چمله ای بگیری که توی دسته بندی بالا ، جزو دسته ای با شماره کمتره.

یعنی اگه لگاریتمی ضربدر چند جمله ای داشتی ، u رو میگیری لگاریتمی ، و dv رو میگیری چندجمله ای.(چرا؟ چون لگاریتمی توی دسته 1 قرار داره و چندجمله ای توی دسته 2)

یا مثلا اگه نمایی ضدربدر چند جمله ای داشتی ، نمایی رو میگیری dv و چندجمله ای رو میگیری u.

اگه انتگرال از حاصل ضرب توابع گروه 3 در هم بود ، تفاوتی نداره کدوم رو u وکدوم رو dv بگیری،باید دوبار جز به جز استفاده کنی،مثل سوال دومی که اسی حل کرده.

امیدوارم کمکتون کرده باشم:a030:

  • Like 5
ارسال شده در

من یه تداعی ذهنی از استاد لیسانم ...:

کلمه آلجمن در جمله آلجمن در آوردی

آ= آرکی

ل= لگاریتمی

ج= جبری

م= مثلثاتی

ن= نمایی

هر کدوم بالاتر بود میشه u/ البته چند جفت بر عکسشم هم درست در می آد مثلا مثال دوم که مهندس اسی حل کردن کسیونی ایکس رو می تونیم بگیرم u

  • Like 2
×
×
  • اضافه کردن...