رفتن به مطلب

مدل ها و روش های کمی در برنامه ریزی شهری


ارسال های توصیه شده

خب این تاپیک برای معرفی و توضیح مدل ها و روش های برنامه ریزی شهری هستش. از مدل های ساده گرفته تا پیچیده. :ws3:
خوشحال میشم دوستان دیگه هم تو این زمینه کمک کنن :w16:

"این مطالب توسط کاربر Mohammad Aref تهیه شده است. جهت حفظ و احترام به حقوق نویسنده ، کپی برداری از انجمن نواندیشان تنها با ذکر منبع مجاز است ".


 



خب با یه سری تعاریف و توضیحات اولیه از جزوه درسی که استادمون کیومرث حبیبی دادن، شروع می کنیم: :ws3:

اول یه سری تعریف از مدل:
نمادی از واقعیت
نمادی از دنیای واقعی که ویژگی های آن دنیا را به صورت ساده و کلی بیان می کند
نمادی برای آسان سازی واقعیت ها
نمادی برای کاهش پیچیدگی های جهان و توضیح ساده مفاهیم آن به صورتی که به آسانی قابل درک باشد
و ...

و اما ویژگی های مدل های برنامه ریزی:
1- ابزاری هستند: این ابزار از سطح خرد تا کلان استفاده می شود.
2- غالباً کمی هستند: کمیت مدل ها در حدی که از ساده ترین تا پیچیده ترین مسائل شهری را در بر گیرد.
3- داشتن پایه نظری: کمترین مدلی هست که پایه نظری نداشته باشد.
4- انطباق با واقعیت ها: مدل ها دنیای ذهن هستند ولی لازم است با دنیای واقعی منطبق شوند.
5- جهت گیری رو به سمت آینده: 90،95 درصد به آینده نگاه می کنند.
6- امکان درک واقعیت ها: مدل کمک می کند بدون برخورد فیزیکی با پدیده به نتیجه برسیم.
7- وابستگی به متغیرها: هرچه تعداد متغیر بیشتر باشد به مدل های پیچیده تری نیاز است.

مراحل ساخت مدل:
1- تعریف و شناخت مسئله: در شناخت، علت مهمتر از معلول، جدا کردن اجزای فرعی و اصلی
2- انتخاب شاخص ها (شاخص سازی): ماهیت و نوع تحقیق می گوید چه شاخص هایی انتخاب شود.
3- طبقه بندی داده ها: این مرحله وابسته به هدف پژوهش می باشد.
4- انتخاب بازه های زمانی و افق طرح
5- تبیین مدل مفهومی: متناسب با تحقیق، مدل انتخاب شود.
6- تعیین و ارزیابی راه حل های ممکن و انتخاب بهترین مدل
7- فرموله کردن و پیاده سازی آن: انواع برنامه ها و برنامه نویسی ها کمک می کند مدل را فرموله کنیم.
8- بررسی صحت و عملکرد مدل انتخابی: از نظر تطابق با دنیای واقعی می سنجیم، اگر خوب نبود از اول ادامه می دهیم.
  • Like 14
لینک به دیدگاه
  • 2 هفته بعد...
  • پاسخ 49
  • ایجاد شد
  • آخرین پاسخ

بهترین ارسال کنندگان این موضوع

بهترین ارسال کنندگان این موضوع

خب از مدل های ساده اجتماعی شروع می کنیم.

1- مدل های اجتماعی
1-1- نسبت جنسی: نسبت جنسی عبارت است از تعداد مردان به زنان ضربدر 100

srabb33tewjrezl0h15x.jpg
 


نسبت جنسی در اکثر کشورهای دنیا بین 90 تا 110 می باشد. اگر 90 باشد یعنی بیشتر مهاجر فرست می باشد. داده های آماری استفاده شده برای نسبت جنسی مربوط به سالنامه آماری سال 85 تهران می باشد که نشان می دهد نسبت جنسی در این شهر تقریباً 104 می باشد، یعنی به ازای هر 100 نفر دختر، 104 نفر پسر وجود دارد. با توجه به اینکه متوسط نسبت جنسی 105 می باشد، می توان گفت این نسبت جنسی در حد متعارفی است.

2-1- نسبت پسرزایی: عبارت است از نسبت متولدین پسر به مجموع متولدین پسر و دختر ضربدر 100

7a89uzln1jnyk0olry8c.jpg
 


نسبت پسرزایی در شهر تهران در سال 85 تقریباً برابر با 52 است که نشان می دهد به ازای هر 100 تولد در سال، 52 نفر پسر متولد می شوند که تقریباً متعادل می باشد. عدم وجود تناسب، سبب افزایش جرم و جنایت خواهد شد.

3-1- نسبت دخترزایی(ضریب تأنیث): عبارت است از نسبت متولدین دختر به مجموع متولدین پسر و دختر ضربدر 100

utjfl16il7q0ffyezk7.jpg
 


نسبت دخترزایی در شهر تهران در سال 85 تقریباً برابر با 48 است که نشان می دهد به ازای هر 100 تولد در سال، 48 نفر دختر متولد می شود که تقریباً متعادل می باشد. عدم وجود تناسب، سبب افزایش جرم و جنایت خواهد شد.

  • Like 7
لینک به دیدگاه

4-1- تراکم ناخالص جمعیتی: عبارت است از نسبت جمعیت شهر به مساحت شهر.

tkpv989dxfzlbzajulb.jpg
 


تراکم ناخالص جمعیتی در منطقه 1 تهران در سال 75 تقریباً برابر با 69 نفر بر هکتار می باشد. 

5-1- تراکم خالص جمعیتی: عبارت است از نسبت جمعیت شهر به مساحت مسکونی و خدماتی که در اختیار شهروند قرار می گیرد و دارای توده ساختمانی می باشند.

mykf9c830kxsz2q810z.jpg
 


تراکم خالص جمعیتی در منطقه 1 تهران در سال 75 تقریباً برابر با 124 نفر بر هکتار می باشد.
البته این دو تراکم خالص و ناخالص بیشتر به عنوان تراکم خالص مسکونی و تراکم ناخالص مسکونی هستن.

6-1- تراکم ماندگاهی: عبارت است از نسبت جمعیت به کل توده های ساخته شده سکونتگاه ها که بیشتر در منطقه کاربرد دارد.

jxly1akz0bwh8fltyk.jpg
 


تراکم ماندگاهی معمولاً فرای سطح شهر کاربرد دارد. تراکم ماندگاهی در استان تهران در سال 1385 تقریباً برابر با 15 نفر بر هکتار می باشد. 

7-1- تراکم طبیعی (فیزیولوژیکی): عبارت است از نسبت جمعیت به اراضی قابل کشت

mdqjic321lw3hdx3x6k5.jpg
 


تراکم طبیعی در استان تهران در سال 1385 تقریباً برابر با 4 نفر بر هکتار می باشد. یا به عبارتی هر هکتار از زمین های قابل کشت، برای 4 نفر روستایی می باشد.

8-1- تراکم کشاورزی (بیولوژیکی): عبارت است از نسبت جمعیت به اراضی زیرکشت

0p36pmv3dlbjbavenpu1.jpg
 


تراکم کشاورزی در استان تهران در سال 1385 تقریباً برابر 5 نفر بر هکتار می باشد. یا به عبارتی هر هکتار از زمین های زیر کشت برای 5 نفر روستایی می باشد.

9-1- تراکم حد بحرانی: عبارت است از نسبت جمعیت به توان و ظرفیت جمعیت پذیری منطقه که بیشتر توان اکولوژیکی مدنظر می باشد.

1dcajiodro221a7ebzj.jpg
 


تراکم حد بحرانی در شهر تهران در سال 1385 تقریباً برابر با 4 می باشد. به عبارتی شهر تهران 4 برابر ظرفیت طبیعی خود جمعیت جذب کرده است.
ظرفیت اکولوژیکی شهر تهران برای جذب جمعیت 2 میلیون نفر می باشد. مسائلی مختلفی از جمله منابع آب، وضعیت طبیعی زمین و خاک، پوشش گیاهی و ... بر ظرفیت شهر برای جذب جمعیت تأثیر می گذارد. این اختلاف زیاد ظرفیت پذیرش جمعیت با جمعیت فعلی شهر، باعث می شود که شهر با مشکلات زیاد زیست محیطی مواجه شود و هزینه های اقتصادی زیادی را نیز بر شهر متحمل می کند.

  • Like 10
لینک به دیدگاه
  • 2 هفته بعد...

10-1- بار تکفل عمومی: عبارت است از نسبت جمعیت افرادی که در سن کار نیستند به جمعیتی که در سن کار هستند.

5yely950z6tapkpx75j8.jpg
 


بار تکفل عمومی در منطقه 1 شهر تهران در سال 1375 برابر با 0.45 می باشد که به عبارتی به ازای هر نفر در سن کار 0.45 نفر وجود دارد که از آنجایی که کمتر از 1 می باشد، مناسب است. یعنی هر فردی که در سن کار هست 1.45 را زیر بار تکفل دارد. (1نفر خودش می باشد)

11-1- بار تکفل واقعی: عبارت است از نسبت جمعیت غیرشاغل به جمعیت شاغل

m5ywzzfu9b0aoa7lk29m.jpg
 


بار تکفل واقعی در منطقه 1 شهر تهران در سال 1375 برابر با 2.75 می باشد که به عبارتی به هرشاغل، 3.75 نفر را زیر بار تکفل دارد که این مقدار تقریباً بالاست.

12-1- بار تکفل اقتصادی: عبارت است از نسبت جمعیت غیرفعال به جمعیت فعال

86u6l1m9i2hp62it3z2d.jpg
 


بار تکفل اقتصادی در منطقه 1 شهر تهران در سال 1375 برابر با 2.59 می باشد که به عبارتی به ازای هر نفر از جمعیت فعال، 3.59 نفر وجود دارد که همچون بار تکفل واقعی مقدار نسبتاً بالایی می باشد.

13-1- بار تکفل وابستگی: عبارت است از نسبت جمعیت افراد غیرواقع درسن فعالیت و غیرفعالانی که در سن فعالیت هستند به افراد شاغلی که در سن فعالیت هستند.

9ptr8ay7cjexh9gdf3m2.jpg
 


بار تکفل وابستگی در منطقه 1 شهر تهران در سال 1375 برابر با 3.3 می باشد که به عبارتی به ازای هر نفر شاغل، 3.3 نفر افراد غیرشاغل واقع در سن فعالیت و افراد غیرواقع در سن فعالیت وجود دارد.

  • Like 9
لینک به دیدگاه

14-1- ضریب فعالیت عمومی: عبارت است از نسبت جمعیت فعال به کل جمعیت

6z1luqjfza61qmm9ox.jpg

ضریب فعالیت عمومی در منطقه 1 شهر تهران در سال 1375 برابر با 0.28 می باشد که به ازای هر نفر از جمعیت، 0.28 نفر فعال می باشند که مقدار پایینی می باشد.

15-1- ضریب فعالیت واقعی: عبارت است از نسبت جمعیت فعال به جمعیت بالای 10 سال

i4b8xjnl1mr0p6b8l83b.jpg


ضریب فعالیت واقعی در منطقه 1 شهر تهران در سال 1375 برابر با 0.32 می باشد که به ازای هر نفر از جمعیت بالای 10 سال، 0.32 نفر فعال می باشند که مانند ضریب فعالیت عمومی، مقدار پایینی می باشد.

16-1- ضریب اشتغال: عبارت است از نسبت شاغلین به کل جمعیت واقع در سن کار

1yll71uirk0x1puuhtd5.jpg
 


ضریب اشتغال در منطقه 1 شهر تهران در سال 1375 برابر با 0.31 یا 31% می باشد که به عبارتی به ازای هر نفر از جمعیت، 0.31 نفر شاغل می باشند که مانند دو مورد قبلی مقدار پایینی می باشد. 

17-1- ضریب بیکاری: عبارت است از نسبت بیکاران به کل جمعیت واقع در سن کار

i8wvibjzabzyfpuvq2b.jpg
 


ضریب بیکاری در منطقه 1 شهر تهران در سال 1375 برابر با 0.014 یا 1.4% می باشد که مقدار کمی است و نشان دهنده این مطلب می باشد که میزان بیکاری در این منطقه پایین می باشد.

  • Like 8
لینک به دیدگاه

18-1- مرگ و میر عمومی: عبارت است از نسبت فوت شدگان در یک سال به متولدین در همان سال

ranspv0rvr8k0g56mzxa.jpg


میزان مرگ و میر عمومی در سال 1385 در شهر تهران در حدود 0.57 درصد می باشد. یعنی به ازای هر 100 نفر جمعیت، 0.57 نفر فوت کرده اند.

19-1- مرگ و میر سببی: عبارت است از نسبت فوت شدگان بر اساس عمال جنگ، سرطان، آلودگی و ... به کل جمعیت در آن سال

bh0w3wfuqa7m5n0rwn6r.jpg


میزان مرگ و میر سببی در سال 1385 در شهر تهران در حدود 0.13 درصد می باشد. یعنی به ازای هر 100 نفر جمعیت، 0.13 نفر فوت کرده اند.


20-1- مرگ و میر سنی: عبارت است از نسبت فوت شدگان در سن 0 تا 5 سال به کل جمعیت در آن سال

q1f1q5tyhextu1t0s8t1.jpg


میزان مرگ و میر سنی در سال 1385 در شهر تهران در حدود 0.21 درصد می باشد.

21-1- مرگ و میر نوزادان: عبارت است از نسبت مرگ و میر کودکان زیر 1 سال به کل متولدین همان سال

x8ifv9zapubiw8no3ekp.jpg


میزان مرگ و میر نوزادان در سال 1385 در شهر تهران حدود 0.44 درصد است. یعنی به ازای هر 100 تولد، 0.44 کودک زیر یکسال فوت می کند.

22-1- میزان موالید: عبارت است از نسبت تعداد متولدین یک سال به کل جمعیت

qm94jn7lkouueta5h9w.jpg


میزان موالید در سال 1385 در شهر تهران تقریباً برابر با 13 می باشد که به عبارتی یعنی به ازای هر 1000 نفر جمعیت، 13 نفر متولد می شوند.

23-1- میزان باروری عمومی: عبارت است از میزان متولدین یک سال به کل جمعیت زنانی که در سن باروری (15 تا 49 سال) قرار دارند.

hmne28twlb0fmhyfasvg.jpg


میزان باروری عمومی در سال 1385 در شهر تهران برابر با 0.04 می باشد. به عبارتی می توان نتیجه گرفت که تعداد فرزندانی که یک زن می تواند با فرض ثابت بودن این نرخ در طول 30 سال به دنیا بیاورد برابر با 30×0.04 یا 1.2 نفر می باشد که میزان پایینی می باشد.

24-1- میزان باروری نکاحی: عبارت است از نسبت متولدین یکسال به تعداد زنانی که در سن باروری بوده و ازدواج نموده اند.

1esr05uaf7jkfj833ape.jpg


میزان باروری نکاحی در سال 1386 در استان تهران برابر با 0.08 می باشد. به عبارتی می توان نتیجه گرفت که تعداد فرزندانی که یک زن متأهل می تواند با فرض ثابت بودن این نرخ در طول 30 سال به دنیا بیاورد برابر با 30×0.08 یا 2.4 نفر می باشد که میزان نسبتاً متعادلی می باشد.

  • Like 9
لینک به دیدگاه

1-25- نرخ رشد جمعیت سالیانه جمعیت: عبارت است از:

ohyczrsscgncspmhhzhj.jpg
 


میزان نرخ رشد جمعیت سالانه در منطقه 1 شهر تهران در بین سال های 1365 تا 1375 برابر با 1.42 درصد بوده است که نرخ رشد نسبتاً متعادلی می باشد.

26-1- زمان دوبرابر شدن جمعیت: عبارت است از مدت زمانی که طول می کشد تا جمعیت یک منطقه، شهر یا کشور دو برابر شود و برابر است با 70 تقسیم بر میزان نرخ رشد.

yo12fn6ons9hu7jiohn9.jpg
 


مشاهده می کنیم که از سال 75 به بعد، 49.3 سال طول می کشد تا جمعیت منطقه 1 شهر تهران به دوبرابر جمعیتش در آن سال برسد.

  • Like 8
لینک به دیدگاه

2- مدل های پیش بینی جمعیتی
1-2- رشد خطی: برای محاسبه رشد خطی جمعیت، نرخ رشد را در تعداد سالها ضرب نموده و نتیجه را به جمعیت فعلی اضافه می نماییم تا جمعیت سال مقصد به دست بیاید.

cejsudoaxgheosig03n.jpg
 


جمعیت سال های 1375 و 1365 منطقه 1 تهران به ترتیب 249676 و 216647 نفر بوده است. به این ترتیب نرخ رشد خطی در این فاصله برابر با 3302.9 بوده است. با ثابت نگه داشتن این نرخ رشد در فاصله سالهای 1375 تا 1385 جمعیت سال 1385 با استفاده از مدل رشد خطی برابر با 282705 نفر می شود.

2-2- رشد نمایی جمعیت: برای محاسبه رشد نمایی جمعیت، نرخ رشد را با عدد 1 جمع نموده و به توان تعداد سالها می رسانیم. با ضرب نتیجه بدست آمده در جمعیت حال حاضر، جمعیت سال مقصد به دست می آید.

8vdzl2tvh4wexnd4.jpg
 


با همان فرضیات قبلی و اینکه نرخ رشد نمایی جمعیت 0.014 می باشد، جمعیت سال 1385 منطقه 1 شهر تهران 286917 نفر بدست می آید.

  • Like 7
لینک به دیدگاه

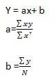
3-2- روش رگرسیون: تقارن و موزونی نقاط نسبت به خط را گویند. مجموع مجذور فاصله بین نقاط و این خط (خط best field) حداقل ممکن است. گاهی یکی از دو متغیر زمان است. به عبارتی جمعیت یک شهر در طول یک دهه تغییر یافته است. در این صورت از طریق معادله خطی می توان آینده را پیش بینی نمود که در زیر روش محاسبه آنرا مشاهده می کنید:

x2ren2ue4rd573mcfkh.jpg
 


تغییرات جمعیتی منطقه 1 شهر تهران از سال 1355 تا 1375

2pkco2n9wuak0exkn2ve.jpg

 
مبدأ صفر قراردادی برای وقتی استفاده می شود که تعداد فرد باشد.

در پیش بینی جمعیتی با این روش حداقل لازم است 3 مقطع آماری را داشته باشیم.

iv9forh8in04i8c76yzs.jpg
 


جمعیت سال 1385 منطقه 1 شهر تهران با استفاده از روش رگرسیون و فرض داشتن سه مقطع جمعیتی 1355، 1365 و 1375 برابر است با 303941 نفر. در این روش پیش بینی هر مقدار تعداد سال های قبلی بیشتر باشد و جامعه آماری نیز بزرگتر باشد، نتیجه دقیق تری بدست خواهد آمد.

  • Like 10
لینک به دیدگاه

3- مدل های اقتصادی
1-3- مدل اقتصاد پایه با استفاده از ضریب مکانی (L.Q?

qpbb9au8omdzxrdw29n.jpg
 


تعداد شاغلان در بخش های عمده فعالیت اقتصادی استان تهران ( 85 – 1382 )

1df37a7v96vrnhqv2j2.jpg

بررسی نقش غالب اقتصادی در استان تهران در سال 1385 بر اساس مدل ضریب مکانی
rqnu3r4wut4nsr8dl8a8.jpgu8jdps0qu55uqlirg9f.jpg


با توجه به نتایج بدست آمده که ضریب مکانی در سه بخش عمده کشاورزی، صنعت و خدمات در استان تهران در سال 1385 به ترتیب 0.17 ، 1.05 و 1.3 می باشد، می توان نتیجه گرفت که این استان در بخش های صنعت و خدمات، علاوه بر خودکفا بودن، صادرکننده در سطح کشور نیز می باشد. ضریب مکانی 0.17 برای بخش کشاورزی نشان دهنده این موضوع می باشد که استان تهران در زمینه کشاورزی به شدت به سایر استان های کشور وابسته بوده و در این زمینه واردکننده می باشد. در مقابل نقش خدماتی استان به عنوان اقتصاد پایه و صادرکننده در سطح کشور می باشد. در بخش صنعت نیز خودکفا بود و تاحدود کمی صادرکننده نیز می باشد.

تعیین نقش غالب گروههای فعالیتی در استان تهران در سال 1385 با استفاده از روش LQ

jn2igkff3f2ophxz32l0.jpg

 

با توجه به نتایج بدست آمده از نقش گروه های فعالیتی در استان تهران، مشاهده می شود که به غیر از بخش های کشاورزی، معدن، آب،برق،گاز و ساختمان، در سایر بخش ها، استان تهران خودکفا و صادر کننده بوده و دارای اقتصاد پایه می باشد.

  • Like 9
لینک به دیدگاه

2-3- تحلیل اقتصاد پایه با روش ضریب تکاثر:
 

9uokra44lcxtr7skq73.jpg


 

if7mfqfoeqw3k4cvhfb.jpg

 

 

l394pqdewgenzc2d0hz8.jpg


اقتصاد پایه استان تهران در سال های 84 و 85 با استفاده از روش ضریب تکاثر در جدول بالا محاسبه شده است. ضریب تکاثر در این دوسال به ترتیب 1.16 و 1.17 بدست آمده است که نشان دهنده این مطلب می باشد که وضع اقتصادی استان در این یکسال وخیم تر شده است یا به عبارتی توازن در بخش های اقتصادی مختلف در استان بدتر شده است. و البته با توجه به نسبت جمعیت به اشتغال پایه که از 3.78 به 3.64 کاهش پیدا کرده است می توان گفت که این نسبت بهبود یافته است و جمعیتی بیشتری در اقتصاد پایه استان مشغول به فعالیت شده اند.

  • Like 7
لینک به دیدگاه
  • 2 هفته بعد...

3-3- تحلیل وضعیت اقتصادی با استفاده از تکنیک Shift Share
4 عنصر اصلی در این روش عبارتند از:

الف) رشد اقتصاد ملی مرجع (Economic growth factor)

udryrzdzdzjzxpq6v7pm.jpg


هرچقدر میزان E.F.G یا رشد اقتصاد ملی بیشتر باشد، درنتیجه می توان گفت که رشد اقتصاد در کشور بیشتر بوده است. منفی بودن این مقدار به این معنی می باشد که کشور از نظر اقتصادی سیر نزولی را طی می کند. رشد اقتصاد ملی در فاصله سال های 1375 تا 1385 در کشور 0.405 بوده است که رشد تقریباً مثبتی را داشته است.

ب) نرخ رشد بخشی در اقتصاد ملی (Proportional shift factor)

fvyl4egrosfmihcaxkvr.jpg


هرچه میزان P.S.F یا نرخ رشد بخشی در اقتصاد ملی بیشتر باشد، در نتیجه می توان گفت که کشور در آن بخش اقتصادی رشد بیشتری را نسبت به رشد اقتصاد کلی کشور یا همان رشد اقتصاد ملی داشته است. منفی بودن این مقدار نیز نشان دهنده رشد کمتر در بخش مربوطه نسبت به رشد اقتصاد ملی می باشد. به عنوان مثال نرخ رشد بخشی در اقتصاد ملی در بخش کشاورزی، جنگلداری و ماهیگیری در بین سال های 1375 تا 1385 برابر با 0.225- بوده است که نشان می دهد کشور در این بخش رشد کمتری را نسبت به رشد اقتصاد ملی داشته است و در بخش ساختمان این مقدار برابر با 0.185 بوده است که نشان می دهد در بخش ساختمانرشد بیشتری را نسبت به رشد اقتصاد ملی داشته است. مابقی بخش های اقتصادی را در جدول مربوطه مشاهده می کنید.

پ) نرخ رشد در اقتصاد محلی (Differental shift factor)

m4l0euu8tatlzjcwgj5.jpg


هرچه میزان D.S.F یا نرخ رشد در اقتصاد محلی بیشتر باشد، در نتیجه می توان گفت که منطقه، استان، شهر یا ... در یک بخش خاص اقتصادی رشد بیشتری رو نسبت به رشد اقتصاد کشور در همان بخش داشته است و منفی بودن این مقدار نیز به این معنی می باشد که رشد اقتصاد در بخش مربوطه در آن استان یا منطقه یا شهر یا .... نسبت به رشد اقتصاد آن بخش در سطح کشور کمتر بوده است. به عنوان مثال نرخ رشد در اقتصاد محلی در در بخش کشاورزی، جنگلداری و ماهیگیری در استان تهران بین سال های 1375 تا 1385 برابر با 1.484 می باشد که نشان می دهد رشد این بخش در سطح استان بیشتر از رشد بخش مربوطه در سطح کشور در بین سالهای ذکر شده می باشد. مابقی بخش ها نیز در جدول مربوطه قابل مشاهده می باشد.

جدول و ادامه مطلب در پست بعدی

  • Like 7
لینک به دیدگاه

ت) پیش بینی اشتغال

cuqx1npwnvuudjss9wt.jpg


با استفاده از سه فاکتور بدست آمده در مراحل قبلی که رشد اقتصاد ملی، نرخ رشد بخشی در اقتصاد ملی و نرخ رشد در اقتصاد ملی را در فاصله دهه 1375 تا 1385 شامل می شوند می توان وضعیت اشتغال را برای سال 1395 برای استان تهران پیش بینی نمود. با توجه به فرمول بالا مشخص است که جمع مقادیر سه فاکتور اول را در میزان اشتغال در بخش مربوطه در استان تهران در سال 1385 ضرب نموده و نتیجه بدست آمده را با مجدد با میزان اشتغال در آن بخش در استان تهران در سال 1385 این بار جمع می کنیم تا میزان اشتغال بخش مربوطه در سال 1395 برای استان تهران بدست بیاید.
لازم به ذکر است، به دلیل غیرطبیعی بودن بخش غیرقابل طبقه بندی که در فاصله 1375 تا 1385 افزایش چشمگیری را داشته است، باعث شده است تا نتیجه نهایی برای این بخش و درنتیجه برای مجموع اشتغال بخش ها در استان غیرطبیعی بدست بیاید. نتایج پیش بینی اشتغال در هر بخش در جدول مربوطه قابل مشاهده می باشد.

3memerwbqmjqhhrnlqo.jpg
dsmuiyxj7g728gid9n.jpg
 

تحلیل وضعیت اقتصادی در بخش های مختلف و برآورد شاغلین در استان تهران در سال های 1375 تا 1385
tackj6xqux3r5clt1qu5.jpg
 


در نهایت برای رسم نمودار تغییر نرخ رشد بخشی در اقتصاد ملی در محور X و نرخ رشد اقتصاد محلی در محور Y قرار می گیرد سهم چهار قسمت در نظر گرفته خواهد شد که به ترتیب زیر خواهد بود. 
u8mbme79yhgs4epciwjw.jpg

با توجه به جدول مربوطه نرخ رشد در بخش های آب، برق، گاز، ساختمان، عمده فروشی، خرده فروشی، رستوران و هتل، حمل و نقل، ارتباطات و انبار داری، مثبت بوده و وضعیت برنده می باشد. در بخش خدمات مالی، بیمه، ملکی، حقوقی وتجاری نرخ رشد در استان منفی و در کشور مثبت بوده است که وضعیت بازنده مختلط بوده و در سایر بخش ها نرخ رشد در استان مثبت و در کشور منفی می باشد و وضعیت برنده مختلط را دارند.
  • Like 9
لینک به دیدگاه
  • 3 هفته بعد...

4-3- تحلیل وضعیت اقتصادی با استفاده از روش طولی و عرضی آیزارد:
این روش به کمک نمودار قابل تحلیل می باشد. روش کار به این صورت می باشد کهنسبت اشتغال در هریک از بخش های اقتصادی را در کشور در طی دو زمان متفاوت بدست می آوریم و آنها را در محور طولها یه به عبارتی به عنوان x هر نقطه در نظر می گیریم و نسبت کل اشتغال در این دو زمان را نیز به عنوان محور x ها در نظر می گیریم. از طرفی نسبت کل اشتغال در منطقه یا استان یا شهر یا ... را در همان فاصله زمانی به عنوان محور y ها در نظر میگیریم و این نسبت را در هریک از بخش های اقتصادی در منطقه، استان یا شهر یا ... به عنوان y هر نقطه در نظر می گیریم و نمودار و پراکندگی نقاط را بدست می آوریم. سپس خط نمودار را به گونه ای که از مرکز نقاط گذشته و آنها را در دو نیمه مساوی قرار دهد، به عنوان نمودار اصلی در نظر میگیریم.
حال اگر زاویه ای که نمودار با محور x ها می سازد بیشتر از 45 درجه باشد رشد شهر یا منطقه یا استان بیشتر از رشد کشور بوده است و اگر برابر با 45 باشد رشد یکسانی داشته اند و اگر کمتر از 45 درجه باشد رشد شهر یا منطقه یا استان کمتر از رشد کشور است.
در این روش نیز مانند روش قبلی، نمودار به چهار قسمت برنده، برنده مختلط، بازنده و بازنده مختلط تقسیم می شود که شرایط و تعاریف آن مشابه همان روش قبلی می باشد.
نتیجه ای دیگری که از این روش و از جدول بدست می آید این است که در هر بخشی که نسبت شاغلین در دوسال، بیش از نسبت شاغلین در کل باشد، رشد آن بخش نسبت به رشد کلی کشور، منطقه، استان، شهر یا .... بیشتر بوده است.
در نمونه کار شده که برای استان تهران و کشور در بین سالهای 1375 تا 1385 می باشد که نقطه (102، 140) به عنوان مبدأ مختصات می باشد.
نتایج را در جدول مربوطه مشاهده می کنید.

 
wztefpzyxj8nbmoy5lrp.jpg
 


تغییرات اشتغال استان روی محور Y و کشور روی محور X پیاده شود (تغییر بر پایه سال مقصد اگر بزرگتر از 100 بود، رشد اقتصادی وجود دارد)
 

  • برنده = ربع اول ، هم در استان رشد و هم در کشور
  • برنده مختلط = ربع دوم ، رشد در استان و عدم رشد در کشور
  • بازنده = ربع سوم ، عدم رشد در استان و کشور
  • بازنده مختلط = ربع چهارم ، رشد در کشور و عدم رشد در استان

 

جدول تغییرات کمی بخش های اقتصادی استان تهران نسبت به کشور بین سال های 1375 تا 1385 با استفاده از روش طولی و عرضی ایزارد
 
4znm0s4g6fqmk9n92vu.jpg
  • Like 10
لینک به دیدگاه
  • 1 ماه بعد...

3-5- روش داده ستانده:

ببخشید تأخیر افتاد تو روند کار :ws3:
خب این روش کلیتش به دنبال اینه که با بررسی درآمد و هزینه های ناشی از طرح ها بگه که چه طرحی سود ده هستش و چه طرحی نیست و اینکه سوددهی کدوم بیشتره و ...
حالا ما تو مطالعه موردی، تحلیل داده ستانده رو تو نوسازی بافت های فرسوده یکی از مناطق تهران انجام میدیم. تعداد واحد مسکونی، مساحت کل قطعات و هزینه تملک اونها و میانگین هزینه نوسازی رو در جدول داده ها وارد می کنیم. اعداد این جدول یه سری داده های فرضی هستن:
 

w7mpj84u831726m7pw2g.jpg
 


حالا سراغ جدول ستانده میریم که به طور مثال میخوایم زیربنای حاصله با تراکم های 180 درصد و 240 درصد، درآمد حاصله از فروش زیربناها در بافت و تعداد واحد مسکونی با میانگین 80 متر مربع رو محاسبه کنیم. تو این جدول ستون اول که ویژگی های کیفی بود دیگه آورده نشده. ولی ترتیب این ستون به همون شکل هستش. میشه این جدول و جدول قبلی و جدولی بعدی که گفته میشه همشون تو قالب یه جدول باشن. ولی خب حالا ما فعلاً جدا کردیم. :ws3:
 

dukctdi18iqvldek19d1.jpg
 


زیربناها که براساس ضرب اون تراکم (180% یا 240% در مساحت بدست میاد. درآمد هم که با ضرب میانگین فروش در زیربنای حاصله بدست میاد تو هر دونوع تراکم. تعداد واحد مسکونی حاصله با میانگین 80 متر مربع هم از تقسیم اون زیربنای حاصله به 80 متر مربع تو هر دونوع تراکم بدست میاد.
در نهایت جدول تحلیل داده/ستانده ارائه میشه که بهای تمام شده، سود و ضرر ناشی از اجرای پروژه، متوسط واحد نوساز به ازای واحد فرسوده و نسبت نهایی داده به ستانده رو محاسبه می کنه:
 

kru2l3tvqv756z3ic54.jpg
 


تو این جدول هم ستون اول که بهای تمام شده آورده میشه که حاصل جمع هزینه تملک و میانگین هزینه نوسازی تو جدول اول (جدول داده) هستش. تو ستون دوم سود یا ضرر ناشی از اجرای پروژه تو هریک از دو نوع تراکم حساب شده که همون اختلاف درآمد حاصله در جدول دوم و بهای تمام شده در جدول سوم هستش. این عدد اگه منفی باشه یعنی اجرای پروژه با ضرر همراه هستش و هرچی مقدار بیشتر باشه یعنی سود اجرای پروژه بیشتره. ستون سوم تعداد واحد نوساز رو برحسب واحدهای فرسوده تو هر رده کیفیتی و هر دونوع تراکم حساب میکنه که از تقسیم تعداد واحد مسکونی حاصله با میانگین 80 مترمربع در جدول دوم بر تعداد واحد بافت فرسوده در جدول اول بدست میاد. ستون آخر هم نسبت نهایی داده به ستانده هستش که از تقسیم درآمد حاصله از جدول دوم بر بهای تمام شده در جدول سوم بدست میاد. این نسبت اگه کمتر از یک باشه، اجرای پروژه با ضرر همراه هستش و هرچی نسبت بزرگتر باشه، سود حاصل از اجرای پروژه بیشتره.

  • Like 8
لینک به دیدگاه

4- روش های مکانیابی و سطح بندی

1-4- سطح بندی با مدل پتانسیل جمعیتی: 
در اين مدل اهميت مناطق براساس تعداد جمعيت مي باشد. یعنی جمعیت تعیین کننده اهمیت یک سکونتگاه در یک ناحیه یا منطقه و یک محله عرفی یا رسمی در مناطق شهری است .
 

vl5yyilew4ztsznlc79c.jpg
 


در این مثال که برای سطح بندی نواحی منطقه 1 شهر تهران براساس پتانسیل جمعیتی در سال 1375 می باشد، مشاهده می کنیم که ناحیه 2 با بیشترین جمعیت در بالاترین سطح و ناحیه 1 با پایین ترین جمعیت در پایین ترین سطح قرار گرفته اند. این روش یکی از ساده ترین روش های سطح بندی می باشد که به دلیل عدم توجه به پارامترهای غیر از جمعیت و حتی عدم توجه به نرخ رشد جمعیت دارای معایبی است.

  • Like 6
لینک به دیدگاه

2-4- مکانیابی و سطح بندی با روش کارکردی: 
در اين مدل براي سطح بندي شهرها و یا مناطق شهری، خدمات و تاسيسات در نظر گرفته شده است و از اين نظر داراي اهميت است. به هر کدام از کارکردها امتيازي داده مي شود و شهر یا منطقه ای که بيشترين امتياز را دارا شود در مکان بالاتري قرار مي گيرد. 
به عنوان مثال در جدول زیر ما به دبیرستان امتیاز 5، به راهنمایی امتیاز 3، به دبستان امتیاز 2 و ... دادیم. تعداد هریک از این خدمات در هر منطقه را در این امتیاز ضرب نموده و امتیاز آن را در منطقه بدست آورده ایم و در نهایت با جمع امتیازات به رتبه بندی که مدنظر هست می رسیم.
 

anjifzsqkjq1xwy8qp1w_thumb.jpg

 

با استفاده از این روش که سطح بندی توسعه یافتگی و برخورداری نواحی منطقه 1 شهر تهران در سال 1375 می باشد، نشان می دهد که ناحیه 7 بالاترین سطح برخورداری را داشته و رتبه 1 را گرفته است و ناحیه 1 نیز پایین ترین سطح برخورداری را دارد. تفاوت نتایج این روش را با روش قبل مشاهده می کنید. در این روش پارامترهایی نظیر تعداد مراکز آموزشی، بهداشتی، پارک و مسجد در نظر گرفته شده است، ولی برخلاف روش قبلی معیار جمعیت را مدنظر قرار نداده است و همچنین کیفیت این خدمات و راه ارتباطی و سطح دسترسی آنها در نظر گرفته نشده است و معیار وزن دهی ذهنی است و مانند روش قبلی توانایی پیش بینی آینده را ندارد. در وزن دهی استفاده شده، دبیرستان با اهمیت ترین فاکتور برای سطح بندی نواحی و دبستان و مسجد به عنوان کم اهمیت ترین فاکتورها در نظر گرفته شده اند.

  • Like 6
لینک به دیدگاه

3-4- روش حداقل فواصل: 
در اين مدل به عامل فاصله اهميت داده شده است. در این روش به صورت ماتریسی فاصله سکونتگاه ، شهر یا مرکز منطقه از هم سنجیده شده و در جدول نوشته شده و سپس جمع مي شود . هر محله یا کانونی که داراي کمترين مجموع فواصل باشد اهميت بيشتري مي يابد و داراي دسترسي بهتري براي سایرکانونهاست . بنابراین این موقعیت مکانی برای سایر سکونتگاهها در دسترس تر است. 
 

cp90a90ghbqtgyf9my5_thumb.jpg

 

سطح بندی مراکز نواحی منطقه 1 شهر تهران با استفاده از روش حداقل فواصل در سال 1375 در نمونه موردی در جدول بالا انجام شده است که مشاهده می کنید مرکز ناحیه 8 در مجموع کمترین فاصله را با سایر مراکز نواحی دارد و مرکز ناحیه 6 نیز بیشترین فاصله را با مراکز نواحی این منطقه دارد. در محاسبه فواصل مراکز نواحی طول مسیرهای مستقیم فاصلهمراکز در نظر گرفته شده است. در این روش عامل زمان و فاصله و دسترسی مد نظر قرار گرفته است ولی عوامل مهم دیگر همچون جمعیت، خدمات و کیفیت شبکه معابر و عوامل طبیعی که در مسیر دسترسی ها قرار دارد در نظر گرفته نشده است و قابلیت پیش بینی آینده را نیز ندارد.

  • Like 6
لینک به دیدگاه
  • 2 هفته بعد...

4-4- ضریب ویژگی: 
در اين مدل گروه هاي عمده کارکردي در نظر گرفته مي شود. یعنی خدمات و سرویس ها در چند بخش عمده طبقه بندی شده(دبستان+ راهنمایی + دبیرستان) و براي سنجش نقش و اهميت هر سرويس خدماتي در يک سيستم شهری به درجه سرويس دهندگي آن سرويس در کل سيستم توجه مي شود تا مرکزیت آن حوزه را مشخص نماید . اساس این مدل بر این منوال است که برای سنجش نقش و اهمیت هر عنصر خدمات رسان شهری به درجه سرویس دهنگی آن عنصر در کل سیستم توجه می کند.
 

6zo5ql92jqk550e8ao4_thumb.jpg

 

ضریب ویژگی (OSD) از فرمول زیر محاسبه میشه که واسه نمونه ضریب ویژگی آموزشی در ناحیه 1 هم تو فرمول حساب شده:

c0svrzntjkgdgtgvv4o.jpg
 


در نمونه مورد بررسی که در مورد سطح بندی نواحی منطقه 1 شهر تهران در سال 1375 می باشد 5 نوع از خدمات و کاربری ها در نظر گرفته شده است و تعداد هرکدام در 8 ناحیه منطقه آورده شده است. جمع تمام سرویسها در یک ناحیه را بر جمع یک نوع از سرویس ها در تمام نواحی تقسیم نموده و نتیجه را در تعداد آن سرویس در ناحیه مورد نظر ضرب می نماییم تا ضریب ویژگی آن سرویس (OSD) در ناحیه مورد نظر بدست بیاید. به عنوان مثال ضریب ویژگی آموزشی در ناحیه 1 برابر با 5.6 بدست می آید. سایر ضریب ها نیز در جدول قابل مشاهده می باشد. در پایان، ضریب ویژگی های سرویس های مختلف را در یک ناحیه با هم جمع نموده و در ستونی به عنوان جمع ضریب ویژگی یا جمع OSD می نویسیم. ناحیه ای که بیشترین مقدار را بدست بیاورد رتبه 1 داشته و در بالاترین سطح قرار دارد و ناحیه ای که پایین ترین مقدار را داشته باشد در پایین ترین سطح و رتبه آخر قرار می گیرد. در نمونه مورد بررسی شده، ناحیه 2 با جمع ضریب ویژگی 92.2 بالاترین رتبه و ناحیه 1 با 20.6 پایین ترین رتبه را دارد. سایر سطح بندی ها و نتایج بدست آمده رو در جدول فوق مشاهده می کنید. این روش نیز جمعیت و کیفیت شبکه ارتباطی و شرایط طبیعی را در نظر نگرفته است و از وزن دهی غیر استاندارد استفاده کرده است و همچون روش های قبلی توانایی پیش بینی آینده را ندارد و فقط گزارشی از سطح بندی وضع موجود در اختیار می گذارد.

  • Like 6
لینک به دیدگاه
  • 2 هفته بعد...

5-4- مدل ضریب مکانی (Location Coefficient?
در اين مدل بر اساس کارکردها يک ضريب مکاني به هر کارکرد داده مي شود . از ضرب ضريب مکاني هر کارکرد در تعداد آن براي هر مکان شاخص مرکزيت به دست مي آيد. از جمع اين شاخص ها به عددي مي رسيم که عدد بزرگتر نشان دهنده اهميت بيشتر مکان مي باشد. ضريب مکاني هر عملکرد عبارت است از 100 تقسيم بر کل تعداد آن عملکرد در منطقه. می توان گفت که "ضریب مکانی اهمیت کارکردی عملکردها را نه تنها بر مبنای تعداد عملکرد در یک مکان بلکه بر اساس فراوانی این عملکرد در کل منطقه اندازه گیری می کند و عملکردها وزنی معادل نسبت معکوس آنها به خود می گیرند که ضریب مکانی می نامند."اهميت اين مدل در در نظر گرفتن خدمات تخصصي مي باشد.خدمات عمومی که در اکثر سکونتگاهها وجود دارد وزن کمتری داده می شود بنا براین می توان گفت "شاخص مرکزیت برای یک مکان برابر است با مجموع وزن آن عملکردهای موجود در آن مکان که هر چه میزان این شاخص بیشتر باشد اهمیت کارکردی آن افزایش می یابد"
 

zbmjpgphe3i75biyhzv9_thumb.jpg

 
 

rbm88hqwk7bons59akq.jpg
 


در نمونه مورد بررسی که برای نواحی منطقه 1 شهر تهران در سال 1375 می باشد 5 سری از سرویس ها در نظر گرفته شده است. برای تعیین ضریب مکانی، عدد 100 را بر تعداد مجموع هریک از عملکردها تقسیم می کنیم و در انتهای جدول اول یادداشت می کنیم. به عنوان مثال ضریب مکانی دبستان 0.74 شده است. به همین ترتیب بقیه عملکردها نیز محاسبه شده در جدول آورده شده است. این عمل باعث می شود که هر عملکردی که تعداد کمتری را دارد، ارزش بیشتری را داشته باشد و در نتیجه ضریب مکانی آن عملکرد بیشتر باشد. در مرحله دوم ضریب مکانی را در تعداد عملکرد در هر ناحیه ضرب نموده و به عنوان شاخص مرکزیت یادداشت می کنیم. به عنوان مثال شاخص مرکزیت دبستان در ناحیه 1 مقدار 8.88 می شود. به همین ترتیب بقیه موارد محاسبه شده و در جدول آورده شده است. جمع شاخص های مرکزیت هر عملکرد نیز 100 می شود.
 

bckzx4m0ha3qn1xze28d_thumb.jpg

 

در انتهای کار، اعداد بدست آمده در هر ناحیه را با هم جمع می نماییم و به عنوان جمع مرکزیت در جدول می آوریم. هر ناحیه ای که بیشترین مقدار جمع مرکزیت را داشته باشد در رتبه اول و بالاترین سطح قرار می گیرد و هر ناحیه که کمترین مقدار را داشته باشد در آخرین رتبه و پایین ترین سطح قرار می گیرد. در نمونه مورد بررسی نیز ناحیه 7 با 105.87 در بالاترین سطح و ناحیه 1 با 35.94 در پایین ترین سطح قرار گرفتند. نتایج کامل در جداول فوق قابل مشاهده می باشد. این روش اگرچه از سعی بر اهمیت دادن بر خدمات تخصصی تر داشته است اما همچنان این وزن دهی نیز چندان استاندارد نیست و عوامل جمعیت و کیفیت شبکه ارتباطی و عوامل طبیعی را در نظر نگرفته است و همچون روش های قبلی قابلیت پیش بینی آینده را ندارد و سطح بندی را برای زمان حال انجام می دهد.

  • Like 6
لینک به دیدگاه

×
×
  • اضافه کردن...