رفتن به مطلب

Boundary layers and sepration


ارسال های توصیه شده

ارسال شده در

درود بر تمام دوستان:icon_gol:

این تاپیک در حقیقت یک کلاس آموزشی نیز هست.مدرس این کلاس استاد:André Bakker

پس مباحث مطرح شده که بصورت خلاصه است را مطالعه فرموده و سوالات خویش را نیز مطرح فرمایید.

  • Like 7
ارسال شده در

Overview

 

Drag.

The boundary-layer concept.

Laminar boundary-layers.

Turbulent boundary-layers.

Flow separation.

  • Like 6
ارسال شده در

The drag force

 

The surrounding fluid exerts pressure forces and viscous forces on an object

cevykzqnmhokkh0eyaj.jpg

 

The components of the resultant force acting on the object immersed in the fluid are the drag force and the lift force

 

The drag force acts in the direction of the motion of the fluid relative to the object

 

The lift force acts normal to the flow direction

 

Both are influenced by the size and shape of the object and the Reynolds number of the flow

  • Like 7
ارسال شده در

Drag prediction

 

The drag force is due to the pressure and shear forces acting on the surface of the object

 

The tangential shear stresses acting on the object produce friction drag (or viscous drag). Friction drag is dominant in flow past a flat plate and is given by the surface shear stress times the area

 

 

z5rd305idqd0q9y6i9fg.jpg

 

Pressure or form drag results from variations in the the normal pressure around the object

raa7fw0vbmvmrdq16og0.jpg

 

In order to predict the drag on an object correctly, we need to correctly predict the pressure field and the surface shear stress

 

This, in turn, requires correct treatment and prediction of boundary layers and flow separation

We will discuss both in this lecture

  • Like 5
ارسال شده در

Viscous boundary layer

 

An originally laminar flow is affected by the presence of the walls

 

Flow over flat plate is visualized by introducing bubbles that follow the local fluid velocity

 

5zwtglefwad42h42xk53.jpg

 

Most of the flow is unaffected by the presence of the plate

 

However, in the region closest to the wall, the velocity decreases to zero

 

The flow away from the walls can be treated as inviscid, and can sometimes be approximated as potential flow

 

The region near the wall where the viscous forces are of the same order as the inertial forces is termed the boundary layer

 

The distance over which the viscous forces have an effect is termed the boundary layer thickness

 

The thickness is a function of the ratio between the inertial forces and the viscous forces, i.e. the Reynolds number. As Re increases, the thickness decreases

 

 

 

  • Like 4
ارسال شده در

Moving plate boundary layer

 

m1mbso47z3jxt579uh.jpg

 

An impulsively started plate in a stagnant fluid

 

When the wall in contact with the still fluid suddenly starts to move, the layers of fluid close to the wall are dragged along while the layers farther away from the wall move with a lower velocity

 

The viscous layer develops as a result of the no-slip boundary condition at the wall

  • Like 4
ارسال شده در

Effect of viscosity

The layers closer to the wall start moving right away due to the no-slip boundary condition.

 

The layers farther away from the wall start moving later.The distance from the wall that is affected by the motion is also called the viscous diffusion length. This distance increases as time goes on

 

The experiment shown on the left is performed with a higher viscosity fluid (100 mPa.s). On the right, a lower viscosity fluid (10 mPa.s) is shown

 

s4124h9x5hr1vlpp3v.jpgce4viczovthvglej8hm.jpg

  • Like 4
ارسال شده در

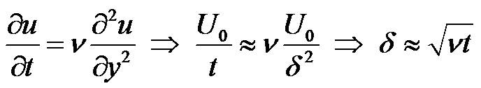
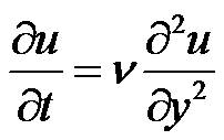
Viscous boundary layer thickness

 

Exact equations for the velocity profile in the viscous boundary layer were derived by Stokes in 1881

 

Start with the Navier-Stokes equation

 

8la1pz6zj25z6l4y9vxn.jpg

 

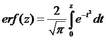
Derive exact solution for the velocity profile

yhew7hxshtj1bu770tem.jpg

 

erf is the error function

45230nxx8f4o5dl5x0o.jpg

 

The boundary layer thickness can be approximated by

lgig7ev9c2tmyadlury5.jpg

  • Like 3
ارسال شده در

Flow separation

 

Flow separation occurs when

 

the velocity at the wall is zero or negative and an inflection point exists in the velocity profile

 

and a positive or adverse pressure gradient occurs in the direction of flow

 

s80dxoshafccqzo0i5xv.jpg

  • Like 3
ارسال شده در

Separation at sharp corners

 

Corners, sharp turns and high angles of attack all represent sharply decelerating flow situations where the loss in energy in the boundary layer ends up leading to separation

 

Here we see how the boundary layer flow is unable to follow the turn in the sharp corner (which would require a very rapid acceleration), causing separation at the edge and recirculation in the aft region of the backward facing step

 

5n626qwtcexnbmrjfq.jpg

  • Like 3
ارسال شده در

Flow around a truck

 

Flow over non-streamlined bodies such as trucks leads to considerable drag due to recirculation and separation zones

 

A recirculation zone is clear on the back of the cab, and another one around the edge of the trailer box

 

The addition of air shields to the cab roof ahead of the trailer helps organize the flow around the trailer and minimize losses, reducing drag by up to 10-15%

 

7d9d2jmkvsxu6vvqtfy.jpg

  • Like 2
ارسال شده در

Flow separation in a diffuser with a large angle

 

tayd0yksx63of5n6kp5.jpg

  • Like 2
ارسال شده در

Inviscid flow around a cylinder

 

The origins of the flow separation from a surface are associated with the pressure gradients impressed on the boundary layer by the external flow

 

The image shows the predictions of inviscid, irrotational flow around a cylinder, with the arrows representing velocity and the color map representing pressure

 

xva9atu2fs3quzal80jo.jpg

 

The flow decelerates and stagnates upstream of the cylinder (high pressure zone

 

It then accelerates to the top of the cylinder (lowest pressure

 

Next it must decelerate against a high pressure at the rear stagnation point

  • Like 2
ارسال شده در

Drag on a smooth circular cylinder

 

The drag coefficient is defined as follows

oeptxleid5r8wy3furd2.jpg

 

yrswwyrc3qdgg9lbb7x.jpg

  • Like 2
ارسال شده در

Drag on a smooth circular cylinder

 

At low Reynolds numbers (Re

 

0454abggqyalrhlj8zq2.jpg

 

The delayed separation reduces the pressure drop. Thus as effective way to reduce the pressure drag is to roughen the surface accelerating the transition to turbulent boundary layer. An example is the way golf balls are dimpled to decrease drag and increase flight range

 

  • Like 2
ارسال شده در

Drag on a smooth circular cylinder

 

At moderate Reynolds numbers (1

 

46btnbra5bfh25bmtcqc.jpg

  • Like 2
ارسال شده در

Drag on a smooth circular cylinder

 

At higher Reynolds numbers (10^3

 

As the Reynolds number increases, the boundary layer transitions to turbulent, delaying separation and resulting in a sudden decrease in the drag coefficient

 

uz53qpe2lfa06jccat9s.jpg

  • Like 2
ارسال شده در

Separation - adverse pressure gradients

 

Separation of the boundary layers occurs whenever the flow tries to decelerate quickly, that is whenever the outer pressure gradient is negative, or the pressure gradient is positive, sometimes referred to as an adverse pressure gradient

 

In the case of the tennis ball, the flow initially decelerates on the upstream side of the ball, while the local pressure increases in accord with Bernoulli’s equation

 

e19iohs13g9815oahl3z.jpg

 

Near the top of the ball the local external pressure decreases and the flow should accelerate as the potential energy of the pressure field is converted to kinetic energy

 

However, because of viscous losses, not all kinetic energy is recovered and the flow reverses around the separation point

  • Like 2
ارسال شده در

Turbulent boundary layer

 

Increased momentum transport due to turbulence from the free stream flow to the flow near the wall makes turbulent boundary layers more resistant to flow separation

 

The photographs depict the flow over a strongly curved surface, where there exists a strong adverse (positive) pressure gradient

 

The boundary layer has a high momentum deficit

 

In the case where the boundary layer is laminar, insufficient momentum exchange takes, the flow is unable to adjust to the increasing pressure and separates from the surface

 

In case where the flow is turbulent, the increased transport of momentum (due to the Reynolds stresses) from the free-stream to the wall increases the streamwise momentum in the boundary layer. This allows the flow to overcome the adverse pressure gradient. It eventually does separate nevertheless, but much further downstream

 

1s21z3vaok9jj51hje9.jpg

  • Like 2
ارسال شده در

Tripping the boundary layer

 

Here we see how the addition of a trip wire to induce transition to turbulence changes the separation line further to the rear of the sphere, reducing the size of the wake and thus drastically diminishing overall drag

 

t5jl5d5hx1g0kozum9ku.jpg

 

This well-known fact can be taken advantage of in a number of applications, such as dimples in golf balls and turbulence generation devices on airfoils

 

j7ixjh8q2kg9aks5up1.jpg

  • Like 1
×
×
  • اضافه کردن...