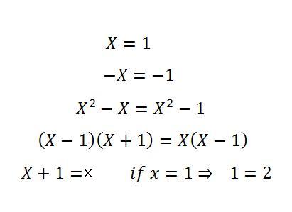
soheiiil 24251 اشتراک گذاری ارسال شده در 26 مرداد، ۱۳۹۰ دوستان نظرتون درباره این معادله چیه؟ اشکال کار کجا میتونه باشه؟ 11 لینک به دیدگاه
Ehsan 112346 اشتراک گذاری ارسال شده در 26 مرداد، ۱۳۹۰ به این میگن مغلطه ریاضی !!!! چون x-1 را نمیشه از طرفین ساده کرد !!!!!!!! چرا؟ چون ریشه های هر دو تابع هستند. 9 لینک به دیدگاه
The Idealist 1526 اشتراک گذاری ارسال شده در 26 مرداد، ۱۳۹۰ دوستان نظرتون درباره این معادله چیه؟اشکال کار کجا میتونه باشه؟ خیلی ساده ، تو ریاضیات حق نداریم جمله هایی مانند ( x-1 ) رو از طرفین حذف کنیم ! برای اینکه این جمله ها رو حذف کرد ، ابتدا باید خود اون جمله ها رو مساوی صفر قرار داد و بعد جواب رو پیدا کرد و بعد اون جمله ها رو حذف کرده و جواب دیگه مسئله رو پیدا کرد ، اینجا راه حل مسئله اینه که بعد از فاکتور گیری ، طرفین رو به یک سمت بیاریم و از x-1 فاکتو بگیریم که در اون صورت جواب مسئله 1 میشه ! 4 لینک به دیدگاه
hosseinn-p 245 اشتراک گذاری ارسال شده در 26 مرداد، ۱۳۹۰ آقا این که نشد یا باید به جای xمقادیری که گفته شده رو جاگذاری کرد یا x رو مجهول در نظر گرفت و معادله رو حل کرد 2 لینک به دیدگاه
soheiiil 24251 مالک اشتراک گذاری ارسال شده در 26 مرداد، ۱۳۹۰ احسنت در واقع همینی بود که دوستان گفتن اینو تو یکی از شهر معماهای مجله اطلاعات علمی دیدم تو نگاه اول آدمو گیج میکنه:دی ممنون از همه کسانی که در این تاپیک حضور به هم رساندند :دی اسی جان شرمنده تاپیک معما رو بسته ای مجبور شدیم تاپیک بززنیم 3 لینک به دیدگاه
Ehsan 112346 اشتراک گذاری ارسال شده در 26 مرداد، ۱۳۹۰ احسنتدر واقع همینی بود که دوستان گفتن اینو تو یکی از شهر معماهای مجله اطلاعات علمی دیدم تو نگاه اول آدمو گیج میکنه:دی ممنون از همه کسانی که در این تاپیک حضور به هم رساندند :دی اسی جان شرمنده تاپیک معما رو بسته ای مجبور شدیم تاپیک بززنیم نه خوب بود ...... معمای جالبی بود،این نشون میده مغلطه بازها همه جا هستند،حتی در عرصه ریاضیات.... 3 لینک به دیدگاه
The Idealist 1526 اشتراک گذاری ارسال شده در 26 مرداد، ۱۳۹۰ از این معماها زیاد دیدم ! یک = 2 8 = 12 و خیلی دیگه ، به سادگی میشه هر روز تعداد زیادی از این معماها رو درست کرد ! به هر حال ، جالب بود ، مرسی 1 لینک به دیدگاه
ارسال های توصیه شده