رفتن به مطلب

لگاریتم و روابط بین لگاریتم ها


ارسال های توصیه شده

ارسال شده در

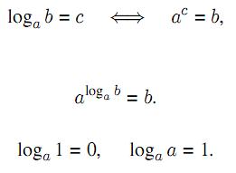
اگر a,b مثبت فرض شوند و a برابر 1 نباشد،لگاریتم به صورت زیر تعریف میشود:

 

 

u1zqeo7xtav5m8pok5wm.jpg

  • Like 10
ارسال شده در

خواص لگاریتم ها:

 

zv9syqbb7vw9ub7lyj3p.jpg

  • Like 10
ارسال شده در

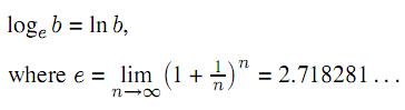
لگاریتم طبیعی Ln:

 

اگر مبنای لگاریتم e باشد، لگاریتم طبیعی (natural logarithm) نامیده میشود:

 

 

wwlvys5lj8thcxw2qq.jpg

  • Like 10
  • 3 سال بعد...
ارسال شده در

یک مثال ساده از لگاریتم حل کردم

گفتم به اشتراک بذارم:

attachment.php?attachmentid=19356&stc=1&d=1432397558

logarithm.jpg

  • Like 4
  • 1 ماه بعد...
ارسال شده در

برای مشاهده این محتوا لطفاً ثبت نام کنید یا وارد شوید.

 

البته این قسمت درباره سری تیلور ه اما کمی همب لگاریتم مربوط ه. دیدنش خالی از لطف نیست.

ی مثال جالب داره اولش.

از اون سبک ریاضی ک من دوس دارم :ws3:

  • Like 2
×
×
  • اضافه کردن...