رفتن به مطلب

محاسبه انرژی در آسیابهای گلوله ای خشک


XMEHRDADX

ارسال های توصیه شده

این مقاله در ۱۸ ژانویه ۲۰۰۴ تهیه و ویرایش شد و در ۶ ماه می ۲۰۰۴ توسط دانشگاه پذیرفته شد. هدف از این مقاله، شیوه جدید برای محاسبه انرژی دریافتی توسط آسیاب های گلوله ای سیمان است. برای این کار داده های مربوط به سیکل آسیاب کردن سیمان که شامل نوع کار و پارامترهای طراحی است، از ۱۴ آسیاب گلوله ای صنعتی جمع آوری شده است. محدوده قطر آسیاب ها از mـ۳/۲ متر تا mـ۴/۸ است. آن چه در این مقاله مورد نظر است اندازه گیری فشار و تنشی است که گلوله در داخل آسیاب ایجاد می کند و به روش های متفاوت در نشریات سیمانی اندازه گیری شده و هم چنین انرژی دریافتی هر آسیاب است. نتایج نشان داده است که می توان به کمک روش هائی که در این مقاله عنوان شده، انرژی دریافتی آسیاب های سیمان را پیش بینی کرد.

در یک کارخانه سیمان مهمترین، پرهزینه ترین و گران قیمت ترین آیتم، انرژی می باشد. در حدود ۶۰% از مصرف انرژی الکتریکی در یک کارخانه سیمان مربوط به آسیاب کردن مواد خام و کلینکر (طبق اطلاعات مجله Zhang در سال ۱۹۸۸) می شود. تولید سالیانه سیمان تقریباً ۶/۱ بیلیون تن در سال است و پروسه آسیاب کردن نزدیک به ۲% از تولیدات انرژی را در کل جهان به خودش اختصاص داده است (مجله Norholm در سال ۱۹۹۵). آسیاب کردن کلینکر از قدیم الایام به وسیله آسیاب های گلوله ای انجام شده است، به طوری که می تواند مدار باز یا مدار بسته همراه با یک کلاسیفایر هوا باشد. انتخاب و طراحی یک آسیاب مناسب جهت کاری خاص خیلی زمان بر و مشکل است، به دلیل این که دارای خرج و هزینه عملیاتی زیاد می باشد. حدود ۵۰ سال است که برای انتخاب آسیاب گلوله ای در هر دو قسمت صنعت سیمان و معدن، از روش Bond استفاده شده است. که این اساساً به تعیین قابلیت آسیاب شوندگی مواد در آسیاب آزمایشگاهی مخصوص، متکی می باشد. بعداً استفاده از معادلات تجربی به وسیله Bond توسعه پیدا کرد و نهایتاً با تجدید نظرهای جزئی آقای Rowland اندازه آسیاب مشخص شد.

(در سال ۱۹۸۵ توسط Rowland و Napier Munn و به هر صورت در سال ۱۹۹۶ توسط دیگران و در نهایت توسط Man در سال ۲۰۰۰).

یک بار دیگر اندازه و بار آسیاب مشخص شد، انرژی مصرف شده برای آسیاب مفروض با استفاده از معادله ۱ به شرح ذیل محاسبه می گردد.

 

bkq0sus9e27tevubio6z.gif

 

(KW(b: مقدار Kwh/Ton گلوله ها.

D: تعداد لاینرهای داخلی قطر آسیاب در هر متر.

(V (p: قسمتی از حجم آسیاب که توسط گلوله پر شده است.

(fc(s: نسبت سرعت بحرانی.

(S(s: فاکتور اندازه گلوله.

 

تعیین انرژی که در آسیاب هائی که به روش خشک کار می کنند در گروی تخلیه کامل مرحله به مرحله آسیاب می باشد که در این صورت معادله ۱ در یک فاکتور ۰۸/۱ ضرب می شود. یک آسیاب گلوله ای چند محفظه ای شامل دو یا چند آسیاب گلوله ای دشارژ در یک مجموعه می باشد. برای محاسبه انرژی مصرفی هر قسمت آسیاب گلوله ای را یک معدن یکسان استفاده می شود و انرژی کل، مجموع انرژی محاسبه شده برای هر قسمت جداگانه می باشد. اگرچه روش Bond در زمینه های مختلف مورد استفاده قرار می گیرد، ولی نیازمند ویرایشی است که فقدان آن احساس می شود. چون وقتی که تنوع زیاد در پارامترهای طراحی و کاری وجود داشته باشد، امکان محاسبه عملکرد دپارتمان به نحو احسن وجود ندارد. (مدل Napier Munn در سال ۱۹۹۶ و Man در سال ۲۰۰۰)، مدلی که مبنای تمام روش های رایج برای غلبه بر این کاستی ها و نقصان ها شد (Herbst و Whiten در سال ۱۹۸۲، Morrell و Man در سال ۱۹۹۷). هدف Morrell و Man (در سال ۱۹۹۷) مدلی بود مبنی بر استفاده از نتایج آزمایشگاهی قابلیت آسیاب کنندگی آسیاب گلوله ای Bond برای مضاعف کردن درصد رطوبت آسیاب های گلوله ای، همان شیوه ای که به وسیله Erdem در سال ۲۰۰۲ با کار روی آسیاب های گلوله ای چند محفظه ای که در صنعت سیمان به روش خشک کار می کنند، که نهایتاً با به کارگیری نتایج آزمایش قابلیت آسیاب کنندگی آسیاب گلوله ای Bond به هدف رسید. یک شیوه معتبر برای همه مدل های مبنی بر این روش ها، محاسبه انرژی دریافتی یک آسیاب معلوم و مشخص می باشد.

  • Like 2
لینک به دیدگاه

روش Morrells C (سال ۱۹۹۶)

شارژی که به طور نسبی ادامه پیدا می کند، نهایتاً به راه حل های جبری منجر می شود که در قالب معادلاتی خاص ارائه می شوند. مدلی که به این صورت بیان می شود به صورت زیر است:

 

کل (ناخالص) (۲) (انرژی جنبشی ٭ K) + انرژی بی باری = انرژی

 

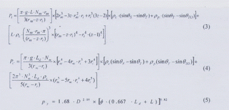
در جائی که انرژی کل معادل انرژی دریافتی موتور است، انرژی در حالت بی باری همان انرژی دریافتی موتور است در حالی که آسیاب خالی است و انرژی جنبشی شارژ، انرژئی است مرکت از حرکت شارژ و (انرژی جنبشی شارژ ٭ K)، که کل انرژی شارژ می باشد. K پارامتری است که گرمای پرت شده و انرژی به هدر رفته را نشان می دهد. در این روش سه معادله اصلی برای محاسبه انرژی دریافتی و مصرف شده وجود دارد، توأم با انرژی قسمت های انتهائی کونیک و استوانه آسیاب های چرخشی که به روش تر کار می کنند. انرژی دریافتی بخش استوانه ای (سیلندی شکل) با استفاده از معادله (۳) محاسبه می شود، انرژی دریافتی قسمت کونیک (مخروطی) با استفاده از معادله (۴) و انرژی در حالت بی باری با استفاده از معادله (۵) (روش Morrell در سال ۱۹۹۶) به دست می آید.

 

 

qolrwa1pbf6xtdcmg.gif

 

دیاگرام شماتیک از بخش انتهائی مخروط در یک سیستم آسیاب گلوله ای در شکل (۱) نشان داده شده است به طوری که برای یک آسیاب گلوله ای چند محفظه ای که به روش خشک کار می کند دارای شکل یکسان نیست. این قسمت نیز مساحت کمی از همه نواحی آسیاب کنندگی که برای طراحی شکل از بین رفته است را پوشش می دهد. بنابراین هنگام محاسبه کردن انرژی کل آسیاب های چرخشی (استوانه ای شکل) انرژی دریافتی قسمت کونیک قابل اغماض است.

 

vvrvb6i3hlf9fnllbzof.gif

 

 

 

در این جا:

 

(P(y: انرژی مصرفی (دریافتی) بخش Kw) Cylindrical).

(P(y: انرژی مصرفی (دریافتی) بخش Kw) Conical).

L : طول بخش Cylindrical لاینرهای داخلی آسیاب (m).

(L(d: طول انتهای m) Cone).

(N(m: نسبت چرخش آسیاب (rev/s).

g: شتاب ثقل (m/ s^۲).

(p(c: دانسیته شارژ کل (t/ m^۳).

pp: دانسیته دشارژ (t/ m^۳).

Z: مقدار ثابت.

D: قطر بخش Cylindrical لاینرهای داخلی آسیاب (m).

(r(m: شعاع لاینرهای داخلی آسیاب (m).

(r(i: متراژی از فضای درونی شارژ که در حالت رادیال است (m).

(r(L: شعاع دشارژ افقی (m).

Ф کسری از سرعت بحرانی (%).

  • Like 2
لینک به دیدگاه

کار آزمایشگاهی

برای بررسی روش جدید محاسبه انرژی مصرفی، به تفصیل از ۱۴ آسیاب گلوله ای در ۶ کارخانه متفاوت ارزیابی جزء به جزء صورت گرفت. آسیاب های گلوله ای مورد مطالعه در این تحقیق با قطرهای ۲/۳ متر تا ۸/۴ متر بودند. پارامترهای کاری و طراحی آسیاب های گلوله ای مورد نظر در جدول شماره (۱) آمده است.

 

 

chc66vlg796bnd5s10ge.gif

 

 

بار آسیاب که در واقع میزان شارژ درون آسیاب است، دترمینان ویژه ای از انرژی دریافتی می باشد. پیش بینی و تخمین بار گلوله توأم با شارژ سیمان کار مشکلی است و حتی می تواند غلط انداز باشد، بنابراین برای محاسبه بار آسیاب باید اندازه گیری مستقیم صورت گیرد. اندازه گیری مستقیم از بار در حالتی که آسیاب زیر بار در یک وضعیت معین ثابت به آرامی در حال چرخش می باشد و می رود که متوقف شود، قبل از اندازه گیری های گوناگون، شرایط معین یکنواخت، به وسیله کارکنان متخصص در این زمنیه مورد ارزیابی قرار می گیرند، البته پس از این که آسیاب ها متوقف شدند. اندازه گیری های مورد نیاز می تواند از دو قسمت در طول مسیر درونی آسیاب که فرآیند آسیاب شدن اتفاق می افتد، انجام شود. بار درون آسیاب ها به وسیله اندازه گیری عرض و طول شارژ و ارتفاع بین شارژ و سطح لاینر در مکان های مختلف هر قسمت مشخص می شوند که در شکل (۲) نشان داده شده است. در زمان معینی همه اندازه گیری های مختلفی که در طول این عملیات ها انجام شده بود در اتاق کنترل ثبت می شود. با استفاده از این اندازه گیری ها و به کمک قوانین هندسی حجم بار به راحتی محاسبه می شود. بدین ترتیب معادله متفاوتی از شرکت های Morrell و Allos Chalmers پیشنهاد شد. هم چنین اگر تناژ کلی گلوله معلوم باشد حجم بار آسیاب با استفاده از معادله ۹ می تواند محاسبه شود. همه معادلات استفاده شده برای محاسبه حجم بار در زیر آورده شده است، معادله ریاضی اندازه گیری های X و Y مرسوم و روابط هندسی برای محاسبه حجم بار که در معادله ۶ نشان داده شده است به وسیله آقای Morrell در معادله ۷ پیشنهاد شد و شرکت Allis Chalmers تحت معادله ۸ ابراز نمودند. مبنای یادداشت های استفاده شده در این محاسبات در شکل (۳) نشان داده شده است.

 

dmn407rca5h53e96clx.gif

 

 

(A(u: مساحت مثلثی که n ارتفاع و x قاعده آن می باشد (m^۲).

(A(á: مساحت کمان زاویه m^۲)á).

(A(d: مساحت دایره ای با شعاع m^۲)r).

h: ارتفاع بار آسیاب (m).

x: پهنای شارژ (m).

y: فاصله عمودی بین شارژ و سطح لاینر (m).

(m(d: تناژ گلوله در هر قسمت آسیاب (ton).

(P(b: دانسیته گلوله (ton/m^۳).

L: طول هر قسمت (m).

D: شعاع آسیاب (m).

m8padyl5oon6lzigh6.gif

  • Like 2
لینک به دیدگاه

محاسبه انرژی دریافتی و بحث درباره آن:

هم چنین مثال ها و نمونه های ذکر شده از مواد موجود در آسیاب حاکی از تعیین حجم و وزن مخصوص مواد بعد از توقف عملیات خرد شدن در آسیاب دارد. برای تعیین وزن مخصوص و دانسیته حجم مواد، به ترتیب از چگالی سنج بادی و بشر مدرج استفاده می شود. بعد از این اندازه گیری های مورد نیاز و محاسبه میزان بار آسیاب که هر یک در مدل انرژی به دست آمده برای حالت بی باری استفاده می شوند، نوبت به اندازه گیری انرژی حرکت شارژ برای اولین قسمت و دومین قسمت از آسیاب و هم چنین محاسبه انرژی نهائی می باشد.

 

مراحل محاسبه

۱) محاسبه انرژی حرکت شارژ برای اولین و دومین بخش از آسیاب (اتاقچه ۱و۲) با استفاده از معادله ۳: انرژی حرکت شارژ برای اتاقچه ۱ برابر با: ۳۴۱.۹۷Kw و انرژی حرکت شارژ برای اتاقچه ۲ برابر با: ۶۵۰.۶۹Kw.

 

۲) محاسبه انرژی بی باری برای اولین و دومین قسمت آسیاب (اتاقچه ۱و۲) با استفاده از معادله ۵: انرژی بی باری برای اتاقچه ۱ برابر با: ۴۱,۹۴Kw و انرژی بی باری برای اتاقچه ۲ برابر با: ۷۲,۳۵Kw.

 

۳) محاسبه انرژی کل: کل انرژی ناشی از تحرک شارژ در آسیاب برابر با ۹۹۲,۶۶Kw و انرژی بی باری برابر با ۱۱۴.۲۹Kw می باشد و فاکتور کالیبره که بیانگر گرمای اتلاف شده و دیگر انرژی های به هدر رفته می باشد در حدود ۱.۲۶Kw است. با استفاده از معادله ۲ کل انرژی دریافت شده توسط موتور ۱۳۶۵.۰۴Kw می باشد.

 

نمایش تصویری این شیوه جدید برای محاسبه انرژی دریافتی آسیاب های گلوله ای که به روش خشک کار می کنند و در صنعت سیمان استفاده می شوند در مقایسه با انرژی دریافتی گفته شده و پیش بینی شده در شکل (۴) به شرح ذیل تشریح می شود.

به عبارت دیگر برای طراحی یک آسیاب گلوله ای و محاسبه انرژی ویژه سایش داشتن قوانین حاکم بر معادلاتی که هریک انرژی آسیاب در آن کار می کند ضروری است. تنوع انرژی دریافتی آسیاب تابع بار و سرعت چرخش آسیاب می باشد. طراحی Lifter یک پارامتر دیگری برای انرژی دریافتی آسیاب ها می باشد. اگرچه آسیاب های سیمان مثال زده شده در این مقاله دارای لغات کلیدی مشابه از قبیل بار آسیاب، سرعت چرخش و طراحی Lifter می باشد ولی تفاوت انرژی های مصرفی و داده های داده شده ای که ثبت شده اند همگی بیانگر ارتباط واقعی میان قطر آسیاب و انرژی مصرفی آسیاب های سیمان می باشند.

نظر به موارد نام برده در فهرست مقاله، راه های مختلفی برای تعیین بار در آسیاب وجود دارد. عملکردهای آسیاب های گلوله ای با طراحی شارژ و وضعیت های کاری زیر خط نرمال آغاز می شود و نیازمند این است که ساختار شارژ نیز به آن اضافه شود که این امر ممکن است باعث از دست رفتن داده ها و اطلاعات بار آسیاب در یک مدار ویژه شود. بنابراین بهترین روش برای محاسبه بار آسیاب به دست آوردن اندازه گیری ها است. به عبارت دیگر برای به دست آوردن بالاترین راندمان ترین عملکرد، وضعیت های آسیاب باید بهینه شود و شرایطی انتخاب شود که وابسته هزینه گلوله و دوام آن باشد.

 

برای مشاهده این محتوا لطفاً ثبت نام کنید یا وارد شوید.

 

نتیجه گیری

شیوه جدیدی که براساس مدل Morrell C می باشد برای محاسبه انرژی دریافتی آسیاب های گلوله ای چند قسمته که به روش خشک کار می کنند استفاده می شود، مقدار انرژی های اندازه گیری شده همگی با یکدیگر تناسب داشتند. معادلات متفاوتی که برای محاسبه بار آسیاب استفاده می شوند، تقریباً نتایج یکسانی می دهند. افزایش تعداد اندازه گیری های انجام شده در طول و عرض آسیاب باید دقیقاً مطابق محاسبات بهبود یابد. به طور آشکارا مشاهده شد که استفاده از این روش برای محاسبه انرژی دریافتی آسیاب های گلوله ای چند محفظه ای که به روش خشک کار می کنند و در بخش آسیاب کلینکر به کار می روند، به طور موفقیت آمیزی قابل پیش بینی بوده است. به هر حال این روش نیاز دارد که با داده های یکنواخت بیشتری بازبینی شود که در برگیرنده پارامترهای عملیاتی متنوع از قبیل: سرعت بحرانی و طراحی Lifter (بالابر) می باشد.

 

 

ترجمه و تنظیم: حجت اله قهرمانی، کارشناس انرژی ـ کارخانه سیمان داراب، شهریور ماه ۱۳۸۶ (کارخانه سیمان داراب)ماهنامه صنعت سیمان

  • Like 1
لینک به دیدگاه
×
×
  • اضافه کردن...