رفتن به مطلب

ارسال های توصیه شده

ارسال شده در

تحلیل تجربی تنش (Experimental Stress Analysis):

 

 

همینطور که از اسم این تاپیک پیداست،بحث ما تحلیل تجربی تنش و روش های آزمایشگاهی تحلیل تنش است.

 

روش هایی مانند فتوالاستیسیته،استفاده از کرنش سنج ها و بسیاری از روش های نوین تحلیل تنش،در این تاپیک مورد بررسی قرار خواهند گرفت.

 

 

همانطور که میدانید،حل تحلیلی تنش تنها برای قطعات با هندسه ساده ممکن است

 

و یا حل عددی با استفاده از نرم افزارهای المان محدود،به دلیل عدم توانایی در نظر گرفتن مواردی که در تولید پیش میاید،معمولا با خطا روبروست.

 

 

پس اینکه ما بتوانیم یک نمونه را پیش از تولید،در آزمایشگاه مورد تحلیل تنش قرار دهیم،امری ضروری است.

  • Like 22
  • 4 هفته بعد...
  • پاسخ 43
  • ایجاد شد
  • آخرین پاسخ

بهترین ارسال کنندگان این موضوع

بهترین ارسال کنندگان این موضوع

ارسال شده در

انواع روش های تجربی تحلیل تنش که در این تاپیک آنها را بررسی خواهیم کرد:

 

 

1- فتو الاستیسیته (کشسان نگاری)

 

2- کرنش سنج ها

 

3- روش مو ری

 

4- پوشش تُرد

 

5- روش های نوین تحلیل تجربی تنش.

  • Like 13
ارسال شده در

روش شماره 1 ) روش فتوالاستیسیته:

 

 

قبل از شروع توضیحات درباره این روش،بهتر است با اصلی ترین رکن این روش،یعنی نور آشنا شویم.

 

در یونان ابتدا بر این عقیده بودند که نور یک ذره است.

 

سپس ether اعلام کرد که نور عنصری است آسمانی که سبب حرکت موج میشود.

 

نیوتن هم گفت نور ذره است.

 

اما young اعلام کرد،نور یک موج است.

 

اما هیچ یک از اینها به تنهایی برای تعریف رفتار نور کافی نبود.

 

تا اینکه انیشتن،نور را یک فوتون (ذره-موج) نامید.

  • Like 14
  • 2 هفته بعد...
ارسال شده در

برای ساده کردن محاسبات در مبحث فتو الاستیسیته،از نظریه موج ماکسول استفاده میکنیم.

 

بر اساس این تئوری،موج شامل بردارهای الکتریک E و مگنتیک H میباشد.

 

و صفحاتی که این بردارها در آن قرار دارند،بر هم عمود هستند.

 

به طور کلی،چنین موجی را موج الکترومغناطیس مینامیم.

 

 

2gsixaaqdzxnl23ksvpt.jpg

 

 

 

  • Like 13
ارسال شده در

نورهای مرئی در محدوده طول موج های 400 تا 700 نانومتر قرار دارند.

 

که مطابق جدول زیر از 400 برای نور بنفش شروع شده تا 700 برای نور قرمز.

 

 

4cs1rqdukfd17ij3q4o4.jpg

  • Like 12
ارسال شده در

دستگاهی که با آن می توانیم آزمایش فتو الاستیسیته را انجام دهیم،پلاریسکوپ نام دارد.

 

معمولا پلاریسکوپ به یکی از دو شکل زیر است که هر کدام از قسمت های آن را توضیح خواهم داد:

 

 

 

الف) پلاریسکوپ صفحه ای:

 

1vqqpw3f4oopse0cuknt.jpg

 

 

 

 

ب) پلاریسکوپ دایره ای:

 

8b6xr06vuqjdntlp3xon.jpg

  • Like 11
ارسال شده در

الف) پلاریسکوپ صفحه ای (Plane Polariscope):

 

پلاریسکوپ صفحه ای،ساده ترین سیستم اپتیکی است که در فتوالاستیسیته استفاده میشود.

 

ابتدا یک منبع نور داریم،این منبع نور هم میتواند شامل نور سفید باشد و هم شامل نور تک رنگ (مثل نور قرمز،سبز و...).

 

اگر نور سفید باشد،در قطعه مورد نظر ما هاله های رنگی به وجود میاد و اگر نور تک رنگ باشد در قطعه ما هاله های سیاه پدید خواهد آمد.

 

پس از منبع نور صفحه ای اپتیکی قرار میگرد،که پلاریزر (Polarizer) نام دارد .

 

پس از پلاریزر ، نمونه فتوالاستیک قرار میگیرد،با توجه به آنکه تنش مستقل از جنس قطعه است،نمونه از جنس مخصوصی است که هاله های تنش را نشان دهد.

 

پس از نمونه هم صفحه دیگری قرار میگیرد که آنالیزر (Analyzer) نام دارد.

 

اگر به شکل دقت کنید،متوجه میشوید که محور پلاریزر و آنالیزر بر هم عمود است و هاله های تنش،از آنطرف آنالیزر مشاهده میشوند.

  • Like 10
ارسال شده در

ب) پلاریسکوپ دایره ای (Circular Polariscope):

 

این پلاریسکوپ از آنجهت دایره ای نامیده شده که نور دایروی تولید میکند.

 

مطابق شکل این پلاریسکوپ علاوه بر پلاریزر و آنالیزر دو صفحه موج (Wave Plate) به ترتیب قبل و بعد از نمونه هم دارد.

 

نور معمولی خارج شده از منبع نور، پس از عبور از پلاریزر به صورت نور صفحه ای تغییر پیدا میکند و این نور صفحه ای پس از عبور از صفحه موج اول،به صورت نور دایره ای،تغییر پیدا میکند.

 

نور دایره ای به نمونه برخورد کرده و پس از عبور از صفحه موج دوم،دوباره نور دایره ای به نور صفحه ای تبدیل میشود.

 

این نور دایره ای سبب میشود،یکسری از هاله ها حذف شوند و تنها هاله هایی باقی بماند که تنش های اصلی را در نمونه نشان دهد.

 

  • Like 10
ارسال شده در

متاسفانه در ایران پلاریسکوپ های مجهز وجود ندارد و اکثرا بسیار ساده و قدیمی هستند.

 

در تصویر زیر،شما یک پلاریسکوپ را مشاهده میکنید.

 

qapbqoswxpdadgsmwr2a.jpg

 

 

دست راست و مکعب سفید رنگ در واقع منبع نور را تامین میکند،اهرم قرمز رنگ که به صورت فلکه مشاهده میکنید،برای بارگذاری قطعه استفاده میشود.

 

و آخر از همه هم صفحه آنالیزر است که با نگاه به آن از بیرون،هاله های تنش های اصلی را در نمونه تحت بار،مشاهده میکنیم.

  • Like 10
ارسال شده در

یک مثالی از روش فتوالاستیسیته را بررسی مکنیم.

 

در اینجا نمونه ی یک قلاب جرثقیل که برای بالابردن اجسام، تحت کشش است،نشان داده شده است.

 

 

pso43edn5dlocg2qcat7.jpg

 

 

اول از همه هاله های ما رنگی است،پس نور استفاده شده نور سفید است.

 

رنگ قرمز،بیشترین تنش را نشان میدهد و طبق جدولی که ارائه شد،به ترتیت آن رنگ ها،تنش نیز کاهش میابد.

 

با توجه به این شکل محل های حساس برای دقت در ساخت قطعه کجاست؟

 

یکی محل اتصال نیم دایره قلاب به تنه قلاب و یکی هم محل اعمال بار.

 

اگر به وسط نیم دایره قلاب دقت کنید،یک هاله سیاه کوچک میبینید.

 

این هاله سیاه در واقع تار خنثی را نشان میدهد،یعنی هیچ تنش خمشی آنجا وارد نمیشود و امن ترین قسمت قلاب،آن قسمت است.

  • Like 12
ارسال شده در

در مثال صفحه قبل از نور سفید استفاده کردیم و مشاهده شد که هاله های رنگی در جسم تشکیل شد.

 

حالا در مثال زیر از نور تک رنگ استفاده میکنیم،مثل نور قرمز،نور سبز و....... هیچ تفاوتی نمیکند.

 

همانطور که مشاهده میکنید،اینبار به جای هاله های رنگی،هاله های سیاه در جسم تشکیل شده است.

 

 

xd2irbq9g3mcvxla3msa.jpg

 

در این شکل یک دیسک از دو طرف تحت کشش قرار دارد.

 

گفتیم هرجا تمرکز هاله ها بیشتر باشد،تنش هم بیشتر است.

 

ملاحظه میشود که در این دیسک،در محل اعمال بار،هاله بسیار تو هم تو هم هستند و با شمارش تعداد آنها میتوان تنش اصلی ماکزیم در دیسک را به دست آورد.

  • Like 11
  • 2 هفته بعد...
ارسال شده در

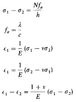
نحوه به دست آوردت تنش ها با روش فتوالاستیسیته:

 

 

در مطالب قبلی نحوه کار دستگاه پلاریسکوپ و همچنین چکونگی شکل گیری هاله ها را توضیح دادم.

 

 

حال با توجه به این مطالب،چگونه میتوانیم از روی این هاله ها،تنش ها را به دست بیاوریم؟

 

 

به روابط زیر دقت شود،در پست های بعد،توضیحات تفصیلی ارائه خواهد شد.

 

 

s8jr5u46t2o1im02f9c.jpg

  • Like 9
ارسال شده در

فتو الاستیسیته تنها روشی است که مستقیم از روی آن میتوان تنش را در هر نقطه دلخواه اندازه گرفت.

 

در سایر روش ها ابتدا باید کرنش را اندازه گرفت و سپس با توجه به روابط تنش-کرنش،مقادیر تنش را به دست آورد.

  • Like 10
ارسال شده در

همانطور که اشاره شد،فتو الاستیسته مستقیم تنش ها را میدهد.

 

اما آیا این تنش،دقیقا تنش در نقطه دلخواه است؟

 

 

جواب منفی است،فتوالاستیسته در واقع اختلاف تنش های اصلی را برای ما مشخص میکند.

 

 

و همانطور که میدانیم تنش برشی ماکزیم،عبارتست از اختلاف تنش های اصلی تقسیم بر دو.

  • Like 7
ارسال شده در

s8jr5u46t2o1im02f9c.jpg

 

 

اختلاف تنش های اصلی بابر است با:

 

 

ضخامت قطعه (h) / ( ثابت هاله (f) * شماره هاله در نقطه مورد نظر (N) )

 

 

حال نحوه به دست آوردن هر یک را توضیح میدهیم.

 

h ضخامت قطعه: که با اندازه گیری به دست میاد،منظور از ضخامت،طولی است که نور عمود بر آن عبور میکند.

 

 

ثابت هاله (f): که با روش کالیبراسیون در آزمایشگاه تعیین میشود و برای یک قطعه مشخص و جنس معلوم،همواره مقدار ثابتی است.

 

 

شماره هاله در نقطه مورد نظر (N) : که با صفر گرفتن تنش برشی در سطح (سطح به عنوان مبدا شمارش تعیین میشود)،کافیست هاله ها را بشماریم تا به نقطه مورد نظر برسیم.

 

 

همچنین با استفاده از قانون هوک میتوانیم،اختلاف کرنش های اصلی را نیز به دست بیاوریم.

  • Like 8
  • 1 ماه بعد...
ارسال شده در

حال در مثال زیر نحوه به دست آوردت تنش توسط روش فتوالاستیسیته را توضیح میدهم:

 

wyjumduap06t6kyfld.jpg

 

با توجه به رابطه ارائه شده،با داشتن شماره هاله در نقطه مورد نظر میتوان تنش برشی را محاسبه کرد،زیر بقیه پارامترها معلوم هستند.

 

معمولا N=0 در تار خنثی گذاشته میشود و تار خنثی را باید با توجه به درک مهندسی حدس زد که اینجا با فلش قرمز نشان داده ام.

 

سپس N افزایش میابد و هاله بعدی،شماره بعدی را خواهد گرفت.

 

اگر زمینه پشت نمونه ما،روشن باشد،هاله بعدی 0.5 و بعد 1.5 و بعد 2.5 و......

 

اما اگر زمینه پشت نمونه ما؛تاریک باشد،هاله بعدی 1 وبعد 2 و بعد 3 و.........

 

  • Like 7
ارسال شده در

تفاوت زمینه روشن و تاریک

 

 

 

زمینه روشن و تاریک بستگی به قرار گرفتن صفحات موج و آنالیزر و پلاریزر دارد.

 

که این زمینه باعث میشود،روند افزایشی شماره هاله ها فرق کرده و همچنین اگر نقطه ای در زمینه تاریک دیده نشد،ممکن است در زمینه روشن دیده شود و بر عکس.

 

j5h2zspc09m5uyoypy2g.jpg

  • Like 6
ارسال شده در

ok3g0zgb49rb0bzzuv3a.jpg

  • Like 7
ارسال شده در

4yt5y5qaocxkbnhrppoj.jpg

  • Like 6
ارسال شده در

دوستان گرامی،روش فتو الاستیسیته به طور تقریبا کاملی در صفحات گذشته توضیح داده شد و دوستان اگر سوال یا ابهامی داشتند:

 

میتوانند به صورت پیام خصوصی از اینجانب سوال کنند.

 

 

پس از پایان توضیحات درباره روش فتوالاستیسیته،به سراغ یکی دیگر از روش های تحلیل تجربی تنش خواهیم رفت.

  • Like 6

×
×
  • اضافه کردن...